Oscar Javier Varela
Universidad Cristiana Evangélica Nuevo Milenio. Centro Regional Choluteca, Honduras
https://orcid.org/0009-0006-4949-5325
dircholuteca@ucenm.net
28/08/2024
10/04/2025
El objetivo de este artículo consiste en identificar los factores que inciden en el abandono escolar de los educandos del III ciclo de educación básica, del municipio de Choluteca, departamento de Choluteca, Honduras. Fue un estudio de enfoque mixto, donde se combinaron los enfoques cualitativo y cuantitativo. Para la recopilación de la información se aplicaron instrumentos como encuestas y entrevistas dirigidas a directores de centros educativos de este municipio, a docentes y padres de familia. El universo está conformado por 3,148 estudiantes que cursaron III ciclo de educación básica en 25 instituciones de educación. La muestra abarcó 145 estudiantes de todos los centros educativos gubernamentales del municipio Choluteca. Para calcular la muestra, se utilizó la fórmula para poblaciones finitas, con un nivel de confianza de 95%. El muestreo se realizó por conveniencia, seleccionando a los participantes o estudiantes que desertaron en el tercer ciclo escolar del año 2023. Como principales resultados, se comprobó que los factores predominantes en el abandono escolar identificados y destacados por los padres de familia y los docentes son la situación económica, la migración y la necesidad de trabajar. Los directores de los centros educativos además de los mismos factores, que mencionaron los docentes y padres de familia, destacan posibles brechas de comunicación o perspectivas divergentes en el entorno educativo. Otros factores importantes para el abandono escolar son la desintegración familiar y la necesidad de integrarse al mundo laboral desde edad muy temprana.
Abandono escolar; factores; migración; situación económica; familia.
The objective of this article is to identify the factors that influence school dropout among students in the third cycle of basic education in the municipality of Choluteca, department of Choluteca, Honduras. It was a mixed approach study, combining qualitative and quantitative approaches. For the collection of information, instruments such as surveys and interviews were applied to school principals, teachers and parents in this municipality. The universe is made up of 3,148 students who attended the third cycle of basic education in 25 educational institutions. The sample included 145 students from all government schools in the municipality of Choluteca. The finite population formula was used to calculate the sample, with a confidence level of 95%. The sampling was carried out by convenience, selecting the participants or students who dropped out in the third school year of 2023. As main results, it was found that the predominant factors in school dropout identified and highlighted by parents and teachers are the economic situation, migration and the need to work. School principals, in addition to the same factors mentioned by teachers and parents, highlight possible communication gaps or divergent perspectives in the educational environment. Other important factors for school dropout are family disintegration and the need to enter the labor market at a very early age.
School dropout; factors; migration; economic situation; family.
El departamento de Choluteca, en el año lectivo 2023, mostró condiciones de pobreza y marginalidad, inclusión laboral temprana en tareas agrícolas, (meloneras) desintegración familiar, embarazos a temprana edad y desnutrición. De igual forma, existe poco acceso a los medios de transporte, sumando a la problemática está la falta de comunicación mutua entre padres e hijos, el analfabetismo de los padres, las separaciones conyugales, la migración y el Covid19. Todos estos factores contribuyen a la problemática que actualmente enfrenta el sistema educativo de la región y por ende el resto del territorio hondureño.
Existen diferentes estudios sobre el abandono escolar, lo que conlleva al planteamiento de diferentes definiciones. En forma general se puede mencionar que el abandono, el ausentismo y la reprobación, son factores que se incluyen para el abandono escolar; así lo mencionan algunos autores donde señalan que estos factores constituyen aspectos de los grandes problemas que tiene la educación en Ecuador, en América y en todo mundo, pues este fenómeno se representa en todos los niveles educativos (Castellón, 2018) (González, 2005).
Los factores del abandono escolar se deben principalmente a la falta de interés personal, así como la baja auto estima; incluyendo la vergüenza a que el resto de la población los observe recibiendo clase, noten que no sabe leer y en algunos casos la distancia al círculo de estudio (Bermúdez Jalinas & Balladares Jalinas, 2019). Por tanto, se puede decir que los principales factores de abandono escolar son económicos y de origen social, dado que la desintegración familiar y la falta de programas de apoyo se ven reflejados en los bajos niveles de matrícula escolar.
Elizarrarás-Ramírez (2023), mediante el método hermenéutico de análisis del discurso y la técnica del grupo de enfoque, realizó un estudio en el que tuvo como propósito comprender los factores de exposición implicados en el abandono escolar en ocho escuelas secundarias de La Laguna (Durango, México). Entre los resultados, se encontró que el contexto familiar, el estrato socioeconómico y las bajas expectativas docentes exponen al alumnado al abandono escolar. Por otro lado, el género, el rezago, la discapacidad y la extra-edad no inciden en la desafiliación de los centros educativos. La investigación concluyó que los climas escolares de confianza, que animan y alientan al personal docente, son alicientes para la continuidad de los estudiantes en las escuelas.
Sin embargo, muchas investigaciones no pasaron de ser estudios longitudinales y cualitativos que abordaron el problema desde una perspectiva individual (integración social) y algunos factores externos que pudieran afectarla (usos alternativos del dinero invertido en educación). (Castellón, 2018) (Elizarrarás-Ramírez, 2023) (González, 2005) (Pariachi Cashpa, 2017).
Los desarrollos en el tema del abandono estudiantil dividieron la investigación en aquellos estudios que apuntaban a la profundización teórica del problema y los interesados en encontrar las causas del fenómeno a través de la evidencia empírica (Marroquín, 2021).
Cada país presenta sus particularidades en este tema tan importante para formación de las nuevas generaciones quienes estarán a cargo del desarrollo y sostenibilidad de la nación. Estudio de los factores de deserción ayudará a enmarcar las estrategias tanto correctivas, como preventivas. En ese sentido, en Honduras el abandono escolar es un fenómeno que se ha venido agudizando a pesar de los esfuerzos del gobierno; a nivel municipal no existe ningún plan estratégico encaminado a mitigar los altos índices de abandono escolar para buscar estrategias encaminadas a resolver dicha problemática.
Fundamentación teórica
Las primeras investigaciones en el tema del abandono estudiantil tomaron como base conceptual la teoría del suicidio y los análisis costo-beneficio de la educación desde una perspectiva económica (González, 2005)
En la primera aproximación se toma al abandono como análoga al suicidio en la sociedad, de ahí que los centros educativos se consideren como un sistema que tiene sus propios valores y estructura social, donde es razonable esperar que bajos niveles de integración social aumenten la probabilidad de desertar.
Aunque actualmente la definición de abandono estudiantil continúa en discusión, existe consenso en precisarla como un abandono que puede ser explicado por diferentes categorías de variables: socioeconómicas, individuales, institucionales y académicas. Sin embargo, la forma de operativizarlas depende del punto de vista desde el cual se haga el análisis; esto es, individual, institucional y estatal o nacional.
Autores como González (2005), afirman que el estudio del abandono en la educación escolar es extremadamente complejo, ya que implica no sólo una variedad de perspectivas sino también una gama de diferentes tipos de abandono. Adicionalmente, sostiene que ninguna definición puede captar en su totalidad la complejidad de este fenómeno, quedando en manos de los investigadores la elección de la aproximación que mejor se ajuste a sus objetivos y al problema por investigar.
Para citar un ejemplo: si esta investigación fuera analizada desde la parte institucional entonces, desde el punto de vista de la dirección de escuela, todos los estudiantes que abandonan una institución de educativa pueden ser clasificados como desertores. En este sentido, muchos autores asocian el abandono con los fenómenos de bajo rendimiento académico y retiro forzoso. Así, “cada estudiante que abandona la institución crea un lugar vacante en el conjunto estudiantil que pudo ser ocupado por otro alumno que persistiera en los estudios” (Portillo Vera, 2023, pág. 1316).
Desde el punto de vista individual, desertar significa el fracaso para completar un determinado curso de acción o alcanzar una meta deseada, en pos de la cual el sujeto ingresó a una particular institución, por consiguiente, el abandono no sólo depende de las intenciones Individuales, sino también de los procesos sociales e intelectuales a través de los cuales las personas elaboran metas deseadas en cierta universidad. (Elizarrarás-Ramírez, 2023, pág. 67)
La definición de abandono puede cambiar, dependiendo de las metas o perspectivas que tenga la persona; por lo mismo, cuando las metas no son claras, el individuo tiende aun así a inscribirse en la universidad y por eso existen los cambios durante la trayectoria académica. Así, algunos autores sugieren un análisis para estudiar el abandono a partir de dos formas; la primera como individual o causas académicas y la segunda, la institucional o causas no académicas o propiamente de colegios y/o universidades (Ruiz, 2021), (Varela, 2025).
La permanencia de los estudiantes es más probable cuando tienen padres con mayor nivel educativo, además cuando los ingresos económicos de los padres son mayores. Esta visión es totalmente cierta, tomando en cuenta que los alumnos destacados reciben apoyo de sus padres, consejos, halagos por sobresalir en la universidad; ellos son hijos/as de padres con altos niveles de estudios y además que tienen ingresos económicos altos. La probabilidad de que un alumno abandone la universidad está vinculada con la situación socioeconómica de la familia.
Se ha observado, que entre los estudiantes que provienen de familias de situación socioeconómica más baja se observan índices más altos de abandono que entre los que pertenecen a familias con una situación socioeconómica más elevada (Quishpe Chicaiza et al, 2018).
Otra relación que se podría ver afectada es la que se establece entre la familia y la institución de educativa, en la que los costos sociales del abandono pueden asociarse a la pérdida de productividad laboral derivada de la menor acumulación individual de capital humano. Esta pérdida se evidencia en la comparación del nivel de ingreso alcanzado por aquellos estudiantes que terminan su proceso de formación profesional y aquellos que no lo hacen.
Se deja entrever que lo antes mencionado son comentarios para observar que el abandono, no es producto meramente del estudiante, sino que es un fenómeno donde intervienen varios factores.
Al enlazar las definiciones de abandono dadas por Tinto y Giovagnoli, citados por (Ruiz, 2021),se puede entender el abandono como una situación a la que se enfrenta un estudiante cuando aspira y no logra concluir su proyecto educativo, considerándose como desertor a aquel individuo que siendo estudiante de una institución de educación superior no presenta actividad académica durante uno o dos meses. Sin embargo, en Honduras prevale una ley del alumno migrante retornado, que se puede integrar a sus estudios después de dos meses de haberlos dejado.
Actualmente se reconocen dos grandes marcos interpretativos sobre los factores asociados al abandono escolar:
Teniendo en cuenta lo antes mencionado, el objetivo del artículo consiste en identificar factores que obstaculizan el abandono escolar en los educandos del III ciclo de educación básica, del municipio Choluteca, departamento de Choluteca, Honduras, para dar las pautas y la base científica en la formulación de futuras propuestas de solución de este problema.
Tipo de investigación
La presente investigación se enmarcó en un enfoque mixto, el cual comprende una serie de procesos rigurosos, empíricos y críticos de investigación. En este enfoque se complementan los datos cuantitativos y cualitativos de una manera harmónica para lograr el abordaje más profundo de los factores que inciden en el abandono escolar. En caso de investigaciones complejas de fenómenos sociales, se requiere del estudio que tome en cuenta no solo los datos estadísticos, sino los significados y opiniones de todos los involucrados. “La meta de la investigación mixta no es reemplazar a la investigación cuantitativa ni a la investigación cualitativa, sino utilizar las fortalezas de ambos tipos de indagación combinándolas y tratando de minimizar sus debilidades potenciales” (Hernández Sampieri et al, 2014, pág. 544)
Universo y muestra
El universo de estudio se refiere al conjunto de casos que cumplen con ciertas especificaciones (Hernández Sampieri et al, 2014). En el contexto de este estudio, la población total objeto de investigación está compuesto por los 3,148 alumnos que cursaron el tercer ciclo de educación básica en el municipio de Choluteca durante el año 2019. La selección de las instituciones se ha realizado considerando únicamente las entidades gubernamentales ubicadas en el mencionado municipio.
El universo es finito, ya que existe un registro en las instituciones gubernamentales que establece el número de estudiantes del tercer ciclo que abandonaron sus estudios durante el año 2019. En este sentido, se creó una base de datos que contiene información sobre la cantidad de estudiantes que desertaron, así como las razones que llevaron al abandono escolar.
Con base en lo anterior, se planteó la utilización de la fórmula de población infinita para llevar a cabo el cálculo estadístico de los elementos de estudio, siguiendo la metodología cuantitativa. En este contexto, se propuso calcular el tamaño de la muestra de estudiantes que abandonaron sus estudios con un nivel de confianza del 95% y un margen de error del 5%. De acuerdo con los cálculos, se estableció que una muestra de 145 alumnos desertores en 25 centros educativos gubernamentales es representativa, utilizando la siguiente fórmula:

Donde:
Z = nivel de confianza
p = probabilidad de éxito
q = probabilidad de fracaso
e = margen de error
El muestreo fue por conveniencia, seleccionando en los centros educativos a los padres de familia, quienes, además de cumplir con los criterios de selección, dieron su consentimiento expreso de participar en el estudio.
Criterios de inclusión de los participantes
Los principales criterios de selección aplicados en el estudio involucrados en la investigación fueron:
Técnicas de recolección de datos
Como instrumentos de investigación se aplicaron las encuestas y entrevistas a los directores, docentes y padres de familia de cada centro educativo. Para aplicar estas técnicas se aplicaron los cuestionarios con las preguntas abiertas y de selección múltiple, para así recolectar los datos tanto cuantitativos, como cualitativos y combinar ambos enfoques de investigación, dando mayor profundidad en la discusión de resultados.
Etapas de investigación
Etapa 1. Investigación documental
Durante la fase documental, se llevó a cabo una exhaustiva revisión de información utilizando recursos electrónicos, tales como bases de datos, bibliotecas, centros de documentación, revistas electrónicas indexadas y sitios web oficiales de instituciones relevantes, como el Instituto Departamental de Educación, entre otros.
Etapa 2. Diseño de instrumentos
Los instrumentos de esta investigación han sido diseñados en consonancia con los objetivos específicos establecidos. Estos instrumentos han sido creados para abarcar a diversos actores involucrados, incluyendo docentes, directores y padres de familia.
La concepción de estos instrumentos se basa en propuestas y metodologías previamente utilizadas en informes y estudios doctorales como punto de partida, los cuales han sido adaptados y contextualizados a la realidad hondureña. También se aplicó el proceso de validación que involucró a cinco expertos en temas de investigación, también se realizó una prueba piloto con una pequeña muestra de la población.
Etapa 3. Trabajo de campo
La fase de trabajo de campo se llevó a cabo de manera gradual, lo que implica la realización de varios períodos, cada uno enfocado en un objetivo específico. La organización se planteó de la siguiente manera:
En esta investigación, se contempló la utilización de tecnología para la aplicación de instrumentos, como una parte entrevistas, a través de la plataforma Zoom.
Etapa 4. Análisis de la información y elaboración del artículo
El análisis de la información se concibió como una tarea de gran complejidad que involucra un proceso de triangulación de información. Este procedimiento tiene como objetivo asegurar la validez y la confiabilidad de los resultados obtenidos.
Los resultados obtenidos fueron procesados en el programa estadístico SPSS, donde se combinaron las bases de datos de las encuestas a los docentes, directores y padres de familia con el fin de realizar el análisis comparativo de resultados obtenidos. Los datos fueron sometidos a un proceso de limpieza, el cual incluyó una prueba de normalidad mediante el test de Shapiro-Wilk.
En casos donde los datos no seguían una distribución normal, se aplicó la prueba no paramétrica de Kruskal-Wallis (Mayorga, García, Chicaiza, & Paredes, 2023) para examinar posibles diferencias entre grupos y factores. La representación visual de la relación y flujo entre grupos, factores y estrategias se llevó a cabo mediante un diagrama aluvial, destacando la magnitud de la relación sin especificar su dirección. Por último, se creó un diagrama de nubes de palabras para visualizar y destacar la importancia de un valor en comparación con una medida específica, mostrando de manera más prominente aquellos valores que tienen una mayor relevancia en la medida analizada.
A los resultados de las encuestas se aplicó la prueba de normalidad de Shapiro-Wilk para evaluar la normalidad de la distribución de los datos. Sin embargo, el resultado de la prueba reveló un valor p significativamente bajo (p = 0.01), indicando que los datos no siguen una distribución normal (Figura 1). Este hallazgo sugiere que los datos no cumplen con el supuesto de normalidad, lo cual es crucial para la aplicación de ciertos análisis estadísticos paramétricos. En consecuencia, se optará por enfoques no paramétricos o pruebas estadísticas robustas al supuesto de normalidad para una interpretación más precisa y confiable de los resultados.

Figura 1. Distribución de datos de los factores que influyen al abandono escolar
Nota: Prueba de normalidad aplicada a los resultados de encuestas a los docentes, estudiantes y padres de familia.
Dado que los datos no presentaron una distribución normal, se optó por realizar una prueba no paramétrica de Kruskal-Wallis para analizar las posibles diferencias entre las percepciones de directores, docentes y padres de familia. Los resultados obtenidos revelan que no existen diferencias significativas entre estos grupos, ya que el valor p obtenido fue de 0.34 (Tabla 1). Este hallazgo sugiere que, en términos estadísticos, las percepciones respecto a ciertos aspectos relacionados con el abandono escolar son similares entre los directores, docentes y padres de familia participantes en el estudio.
Tabla 1.
Prueba de Kruskal-Wallis para para analizar las posibles diferencias entre las percepciones de directores, docentes y padres de familia.
| Grupo | N | Mediana | Clasificación de medias | Valor Z | Chi-cuadrado | df | p-valor |
|---|---|---|---|---|---|---|---|
| Directores | 8 | 9.5 | 14.8 | 1.13 | 2.12 | 2 | 0.34 |
| Docentes | 8 | 6 | 18 | 15 | |||
| Padres de familia | 8 | 0 | 9.9 | -1.29 | |||
| General | 24 | 125 |
El diagrama aluvial evidencia claramente que los factores predominantes en el abandono escolar son la situación económica, la migración y la necesidad de trabajar (Figura 2). Estos elementos fueron mayormente identificados y destacados por los padres de familia y los docentes.
En contraste, los directores no enfatizaron estos factores de manera tan pronunciada. Esta discrepancia en las percepciones entre los distintos actores clave del entorno educativo sugiere posibles brechas de comunicación o perspectivas divergentes sobre las causas subyacentes del abandono. La comprensión de estas diferencias puede ser fundamental para diseñar estrategias efectivas y específicas que aborden las preocupaciones reales de los estudiantes y sus familias, fomentando así la retención escolar.
Los directores y docentes coinciden en que la desintegración familiar es uno de los factores importantes en el abandono escolar. Es interesante, que los padres de familia no indican este factor, siendo ellos los involucrados. Sin embargo, en las entrevistas los padres de familia mencionan este factor. Es probable, que por ser el tema muy delicado y doloroso (en su mayoría los padres de familia que participaron en las encuestas y entrevistas son las mujeres), prefieren lo mencionar o no creen que esto puede ser la causa del abandono escolar de sus hijos, minimizando el impacto de desintegración familiar en el bienestar psicológico de sus hijos.
Los padres de familia tampoco mencionan la necesidad de trabajar como causa de abandono escolar, sin embargo, por la situación económica (que los padres de familia mencionan) en mayoría de los hogares trabajan tanto los adultos, como los niños.
El impacto del abandono escolar en la familia es una situación compleja que se asume, se niega, se oculta, se minimiza, de acuerdo con múltiples variables culturales, en la que opera el grado de instrucción de los padres y la valoración que atribuye a la educación de sus hijos, las posibilidades económicas de hacer frente al mismo año “nuevamente”, La conciencia sobre el derecho a reclamar una Educación de mayor calidad para los niños y adolescentes (González, 2005) . La autora afirma que el abandono de los jóvenes se da por la falta de motivación de la familia.

Figura 2. Diagrama aluvial de los factores que influyen al abandono escolar
Nota: Resultados de encuestas a los docentes, estudiantes y padres de familia
La falta de afecto en el núcleo familiar es un factor desencadenante en más de un 50% de los casos del fracaso escolar. La primera escuela y el pilar básico en la Educación de un niño es su familia.
Todo lo que el niño, vea, escuche, entre otros, va a condicionar su vida y le va a tomar como persona. Los niños son como una esponja y todo lo que ven les llama la atención y más en el caso de sus padres, que son como ejemplos a seguir. Por eso, es muy común que ante acontecimientos familiares tan desagradables como un divorcio o la desaparición de alguno de los pilares de la familia, cuando el niño observa que el hogar se está desintegrando y el ambiente familiar no es el mismo, empieza a sentirse sólo, abandonado y desprotegido, donde en ocasiones las causas de este problema familiar desencadenan el fracaso inadecuado de la calidad de la enseñanza, por falta de medios (Bermúdez Jalinas & Balladares Jalinas, 2019) .
En la deserción escolar existen factores que influyen mucho en los estudiantes y de esta manera provoca que el joven no asista a la clase, trayendo así el retiro del individuo. Entre los factores más comunes que se presentan para el abandono de los estudiantes están: motivación e interés, económico, cultural, familiar y aspecto educacional.
Los resultados del análisis comparativo de las percepciones sobre los factores de abandono escolar entre docentes, directores y padres de familia revelan diferencias significativas, con un valor de p de 0.04 (Tabla 2). Esta disparidad en las perspectivas podría deberse a diversos contextos y roles en el entorno educativo.
Mientras los docentes están directamente involucrados en la interacción diaria con los estudiantes, los directores pueden tener una visión más global de la institución, y los padres de familia aportan la perspectiva desde el hogar.
La identificación de estas discrepancias subraya la importancia de considerar múltiples opiniones al abordar la problemática del abandono escolar y destaca la necesidad de un enfoque colaborativo y comprensivo para implementar estrategias efectivas de retención estudiantil.
Tabla 2.
Prueba de Kruskal-Wallis para analizar las posibles diferencias entre los factores que inciden en el abandono escolar
| Factores | N | Mediana | Clasificación de medias | Valor Z | Chi-cuadrado | df | p-valor |
|---|---|---|---|---|---|---|---|
| Bajo rendimiento | 3 | 0 | 8 | -1.18 | 14.34 | 7 | 0.04 |
| Delincuencia | 3 | 0 | 7.7 | -1.27 | |||
| Desintegración familiar | 3 | 2 | 12.8 | 0.09 | |||
| Distancia | 3 | 0 | 7.3 | -1.35 | |||
| Falta de apoyo familiar | 3 | 0 | 8.7 | -1 | |||
| Migración | 3 | 15 | 20.2 | 2.01 | |||
| Necesidad de trabajar | 3 | 9 | 14.2 | 0.44 | |||
| Situación económica | 3 | 8 | 21.2 | 2.27 | |||
| General | 24 | 12.5 |
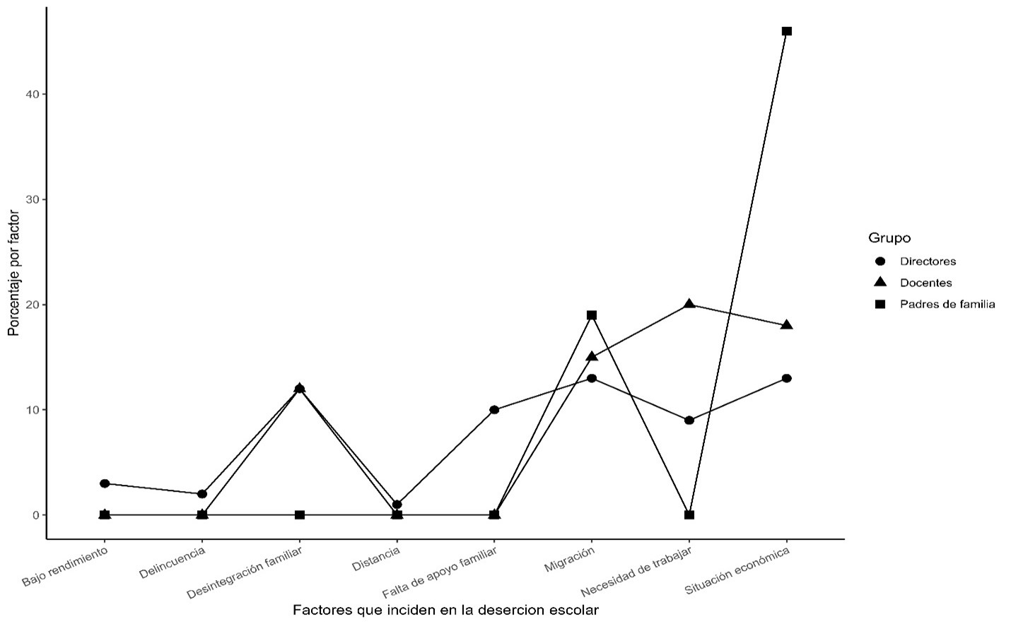
La presencia de diferencias significativas entre los factores que inciden en el abandono escolar (p = 0.04) resalta la notabilidad de la situación económica, la necesidad de trabajar y la migración como aspectos prominentes mencionados tanto por directores, docentes como por padres de familia (Figura 3).
Estos resultados refuerzan la consistencia de las percepciones a nivel nacional, subrayando la relevancia de estos desafíos socioeconómicos como causas fundamentales del abandono estudiantil. Estos hallazgos ofrecen una base robusta para el diseño e implementación de estrategias específicas que aborden estos problemas prioritarios y contribuyan a la reducción efectiva del abandono escolar en el ámbito educativo.

Figura 3. Distribución de factores de abandono escolar según la percepción de su importancia
Nota: Resultados de encuestas a los docentes, estudiantes y padres de familia
El análisis del diagrama de nube de palabras refuerza las conclusiones obtenidas, identificando la situación económica, la migración, y la necesidad de trabajar como los principales factores del abandono escolar, citados con un 38%, 23%, y 14%, respectivamente (Figura 4). Además, destaca la desintegración familiar con un 11%. Estos resultados subrayan la complejidad de los desafíos que enfrentan los estudiantes en el Municipio de Choluteca (OEI, 2020) .
Es importante recalcar, que los padres de familia siguen considerando nula la desintegración familiar como uno de los factores importantes en el abandono escolar, cuando los docentes y los directores de os centros educativos marcan este problema dentro de las causas principales. Es importante hacer ver a los padres de familia, que sus hijos están afectados con los problemas relacionados con el divorcio de sus padres.
Los padres de familia indican la situación económica como factor principal, sin embargo, sus hijos cursaban sus estudios en los centros gubernamentales, donde no se paga ni matrícula, ni mensualidad. Esto indica que tras ello están otros factores relacionados: costos del pasaje, de los útiles escolares, del uniforme, de la merienda.
Con estos factores en mente, se hace evidente la necesidad de implementar estrategias y soluciones específicas que aborden estas preocupaciones fundamentales y que contribuyan a la reducción efectiva del abandono escolar en la región. Que puede ser la continuidad de la presente investigación donde, a partir de las realidades presentadas, se trabajará sobre las alternativas viables de solución de este problema.

Figura 4. Nubes de palabras asociadas con los factores contribuyentes al abandono escolar
Nota: Resultados de encuestas a los docentes, estudiantes y padres de familia
En el abandono existen diversas causas que influyen mucho en los estudiantes y de esta manera provoca que el joven no asista a la clase, trayendo así el abandono del individuo. Entre los factores más comunes que se presentan para el abandono de los estudiantes tenemos como: motivación e interés, económico, cultural, familiar y aspecto educacional.
Si los estudiantes no tienen claro hacia dónde quieren ir será muy difícil que observen, que a través de la educación formal pueda alcanzar mejores condiciones de vida y esto tiene mucho que ver con la motivación de los padres para los hijos, ya que es de suma importancia para evitar el abandono escolar.
Todo lo que pasa en la casa repercute en el joven y en su rendimiento escolar. Una actitud sobre proteccionista por parte de los padres puede llevar a una excesiva dependencia, falta de confianza en sí mismo y una conducta regresiva, por la tolerancia a la frustración. La edad de los padres es un factor para tener en cuenta cuando se trata del fracaso escolar, es mayor el número de casos de retraso escolar en los hijos nacidos de padres mayores, así como también en los casos de madres demasiado jóvenes.
Los padres deben favorecer el desarrollo y la motivación de sus hijos, ya que para ellos son el principal modelo y objeto de identificación, el fracaso escolar no es solo un fracaso de los jóvenes, sino que puede abarcar a padres, profesores e incluso alcanzar extremos tan radicales como el suicidio.
Según Fernández Nistal et al (2020), el término interés se puede definir como atracción por una actividad, que pueda ser espontánea y de carácter intelectual, en donde el mismo debe de ser como un deseo, pues tienen objetivos diferentes, tampoco debe de confundirse con el grado. El interés es aquella preferencia donde se manifiestan las actividades, este se muestra en diferentes situaciones y es un factor de motivación que ayuda a las personas a sentirse bien.
La situación económica es uno de los principales factores influyentes en la vida de las personas (Castellón, 2018). Tanto, que en muchos casos define el que pueda alcanzar o no, los objetivos educativos. De modo que, para muchos padres y madres de familia, el mantener a sus hijos e hijas en el centro de estudio se vuelve un privilegio, del que no pueden gozar.
Bermúdez Jalinas & Balladares Jalinas (2019), consideran que una de las causas de la salida de los estudiantes es la posición social y status de los padres; quienes muchas veces debido a sus dificultades retiran a sus hijos e hijas de los centros de estudios, negándoles ese derecho a la educación, provocando así el abandono escolar.
El factor económico, se manifiesta no solo en diferencias de ingresos sino también en las desigualdades de posibilidades de acceder a los sistemas públicos o privados de la educación. Con ello, tiende a reproducir la desigualdad de oportunidades de una generación a la siguiente, permitiendo que factores de carácter descriptivo, permitan los logros durante las etapas de la vida del estudiante.
La cultura de un pueblo es un patrimonio firme que abarca una muy amplia gama de aspectos en la vida del hombre, su costumbre, su lenguaje, sus creencias y sus inclinaciones artísticas, por lo que todo esto influye en su educación, ya que por sus creencias u otros aspectos les impide seguir estudiando.
Si bien una de las causas importantes del abandono de los y las estudiantes es el ingreso económico del hogar, también se debe considerar las expectativas familiares, su composición y su forma de vida. Según Falla Ramírez (2018), la familia es un sistema social y núcleo dentro de la sociedad, conformado por un grupo de personas en interacción constante, que viven bajo un mismo techo y donde cada miembro tiene un papel definido y cada situación que se presente, afecta positiva o negativamente a sus miembros.
Para Bermúdez Jalinas & Balladares Jalinas (2019), la familia es un agente educador de primer orden, donde se le presentan a las nuevas generaciones los primeros elementos educativos, como lo pueden ser costumbres, valores, tradiciones, moral, entre otras.
De igual manera, Varela (2024), menciona cómo ante los constante cambios de la sociedad, la familia se ha expuesto a una serie de transformaciones, que han puesto en peligro la estabilidad y el bienestar de sus miembros. De manera que, cada día es frecuente la desintegración familiar donde las personas menores de edad son los principales afectados.
Desde la perspectiva educativa, los principales factores que contribuyen en el abandono escolar están relacionados con: organización escolar, prácticas pedagógicas, formas de convivencias, disciplina, dificultades de aprendizaje y falta de atención a la diversidad. Uno de los principales factores que tienen los alumnos desertados es no seguir en el aula de clase porque no quieren ir a exámenes de reparación si no que se van por la otra vía que es repetir el año y otras posibilidades es abandonar el sistema escolar. Al respecto es necesario considerar lo siguiente:
La existencia de mallas curriculares rígidas no resulta atractiva para los jóvenes, que en general, creen que el tipo de materia insertada en estas, no tendrán relación con sus intereses y con su vida. Se considera que la convivencia es difícil cuando existe una sala de clase sobrepoblada; lo que además también influye directamente en la disciplina y rendimiento escolar; donde no se puede realizar una supervisión personalizada sobre la situación particular que puede afectar a cada alumno.
Otro elemento para considerar es el desencuentro entre el joven y el sistema escolar, debido a la utilización de distintos lenguajes y códigos, extendiéndose solo al joven adolescente el proceso de adaptación a este sistema.
La escuela debería ser, un espacio de socialización, acogedora, con profesores motivados con espacios para desarrollar y potencializar habilidades y creatividad, siendo los proyectos escolares un factor protector para los jóvenes de alta vulnerabilidad social.
El abandono escolar se relaciona en muchos sentidos con la calidad en la educación, pues es difícil que, habiendo calidad en la enseñanza, haya estudiantes que deserten. La calidad implica el entendimiento que el profesor tiene como profesional de la educación, la buena comunicación entre el profesor y el estudiante, la satisfacción de las necesidades propias de los estudiantes y hacer que los estudiantes descubran el potencial en su vida académica.
Todo esto forma parte de una educación con calidad y muchas otras características que en ocasiones no están presente en la educación de donde existe el abandono escolar.
Dentro del abandono escolar también se encuentran las acciones que pueden ser los errores en los cuales ha incurrido el sistema Educativo y que promueven el abandono escolar. Rodríguez (2020), menciona que existe un tipo de educador o educadora cuya visión promueve, que quien aprende, aprende dejando a la suerte a las personas que presentan alguna dificultad para aprender.
Bajo esta misma dirección Suarez (2022), considera que el sistema educativo puede inducir el abandono escolar en la medida que se reduce a obligaciones e instrucciones que los y las jóvenes viven en forma pasiva, con aburrimiento y en las que sus intereses, preocupaciones y problemas no tienen cabida. No existe por parte del personal Docente, la capacidad o motivación para incentivar a una participación crítica, creadora y comprometida.
Otro factor incidente en la problemática, según Pariachi Cashpa (2017), es el accionar del docente el cual puede agravar o mejorar la situación de los alumnos. Ahora bien, cuando se habla de factores exógenos, se refiere a aquellos que en gran medida no dependen de nosotros, en la educación formal contra el éxito posible. Los factores endógenos, son los factores internos, la escuela puede agravar la situación del niño o mejorarla (Murillo, 2021). La realidad económica es un factor más del abandono, en general el niño desertor es primero trabajador y después un niño de la calle.
En algunos casos el abandono está centrada en la necesidad de que el hijo suplante al padre desempleado, en el sustento del hogar. Junto a las condiciones socioculturales de marginalidad en la que crecen estos chicos, se suma una creciente violencia del medio y la imposibilidad de la enseñanza formal de acompañarlo con una elasticidad en sus programas. De tal manera que, si el escolar no puede asistir a clases porque tuvo que ir a trabajar, no quede fuera de la curricular.
Al aplicar la prueba de normalidad de Shapiro-Wilk se comprobó que los datos no tienen una distribución normal, por lo que se optó por enfoques no paramétricos o pruebas estadísticas robustas.
Al realizar una prueba no paramétrica de Kruskal-Wallis, se determinó que las percepciones respecto a ciertos aspectos relacionados con el abandono escolar son similares entre los directores, docentes y padres de familia participantes en el estudio.
Los factores predominantes en el abandono escolar identificados y destacados por los padres de familia y los docentes son la situación económica, la migración y la necesidad de trabajar.
Los directores de los centros educativos además de los mismos factores, que mencionaron los docentes y padres de familia, destacan posibles brechas de comunicación o perspectivas divergentes en el entorno educativo.
Los problemas educativos de los niños marginados constituyen un grave problema social, porque perpetúa el círculo de la pobreza y marginación, y un problema político porque la democracia se base en la distribución equitativa de beneficios básicos como la educación y la salud y su consolidación se deteriora en sociedades con altos niveles de exclusión y marginalidad.
Aplicando las técnicas cualitativas, se puede considerar como factores importantes para el abandono escolar la desintegración familiar y la necesidad de integrarse al mundo laboral desde edad muy temprana.
Bermúdez Jalinas, L. R., & Balladares Jalinas, W. R. (2019). Factores que inciden en la abandono escolar de los estudiantes del I Nivel de Educación Básica de Adultos (EBA), Departamento de Masaya, Municipio de Tisma comunidad N° 2, durante el primer trimestre del año 2019. Obtenido de Repositorio de UNAN Managua: https://repositorio.unan.edu.ni/id/eprint/12174/
Castellón, K. N. (enero de 2018). Deserción escolar en el Instituto Nacional Julio Cesar Castillo Ubau del turno matutin en el primer semestre del año 2017 en el municipio de Condega Estelí. Obtenido de https://repositorio.unan.edu.ni/9240/1/18925.pdf
Elizarrarás-Ramírez, E. (2023). Factores de exposición al abandono escolar en educación básica secundaria en la Laguna, Durango, MéxicoRevista Senderos Pedagógicos. Revista Senderos Pedagógicos, Vol. 14 num. 1, 65-79. Obtenido de http://dx.doi.org/10.53995/rsp.v14i14.1384
Falla Ramírez, U. (agosto de 2018). La intervención profesional del trabajo social vivenciada como un acto reflexivo de atención: contexto de la política pública de mujeres y equidad de género. Argentina, Argentina: Doctoral dissertation, Universidad Nacional de La Plata.
Fernández Nistal et al. (2020). La validez estructural de los modelos de Holland y Gati sobre los intereses vocacionales RIASEC en estudiantes mexicanos. Electronic Journal of Research in Educational Psychology, 17 (3), 707-730. Obtenido de https://repositorio.ual.es/bitstream/handle/10835/7664/2634-8583-1-PB.pdf?sequence=1#:~:text=Objetivos%20e%20hip%C3%B3tesis%20Los%20objetivos%20del%20presente%20estudio,trav%C3%A9s%20de%20las%20puntuaciones%20proporcionadas%20en%20el%20SDS.
Gonzáles, T. (2005). El absentismo y el abandono: una forma de exclusión escolar. Profesorado. Revista de Currículum y Formación de Profesorado, vol. 9, núm. 1, 1-13. Obtenido de https://www.redalyc.org/pdf/567/56790105.pdf
Hernández Sampieri et al. (2014). Metodología de la investigación (Vol. Sexta edición). Mexico D.F: McGraw-Hill Education. Recuperado el 17 de Julio de 2020
Marroquín, I. C. (2021). Imaginar comunidades resilientes: gestión de riesgos, fortalecimiento y capacidades para la acción social. ECA: Estudios Centroamericanos,, 76(767), 413-450. Obtenido de https://revistas.uca.edu.sv/index.php/eca/article/view/6471
Mayorga, D. J., García, G. V., Chicaiza, S. C., & Paredes, M. A. (2023). Análisis no paramétrico a través de Kruskal-Wallis para evaluar a distribución sectorial y el desarrollo de las empresas dentro de la Provincia de Orellana. Tesla Revista Científica, 3(2), e228. doi:10.55204/trc.v3i2.e228
Murillo, F. R. (15 de julio de 2021). La mayoría de estudiantes en Honduras reciben clases por WhatsApp. Obtenido de https://dplnews.com/la-mayoria-de-estudiantes-en-honduras-reciben-clases-por-whatsapp/
OEI. (julio de 2020). Análisis de la Deserción Escolar en el Tercer Ciclo de la Educación Escolar Básica y Educación Media. Obtenido de https://oei.int/oficinas/paraguay/publicaciones/analisis-de-la-desercion-escolar-en-el-tercer-ciclo-de-la-educacion-escolar-basica-y-educacion-media/
Pariachi Cashpa, R. H. (2017). Factores que influyen en la deserción escolar de los alumnos del nivel secundario. Obtenido de Universidad Nacional del Santa, Chimbote, Perú: https://repositorio.uns.edu.pe/bitstream/handle/20.500.14278/3007/46327.pdf?sequence=1&isAllowed=y
Portillo Vera, E. (2023). Factores asociados a la deserción universitaria en la Licenciatura en Administración de Empresas y Contaduría Pública, en el Paraguay. LATAM Revista Latinoamericana De Ciencias Sociales Y Humanidades, 4(1), 1312–1319. doi:https://doi.org/10.56712/latam.v4i1.340
Quishpe Chicaiza et al. (2018). La deserción escolar y las familias extensas. Cotopax: Repositorio Digital Universidad Técnica de Cotopax. Facultad de Ciencias Humanas y Educación, Ecuador. Obtenido de https://repositorio.utc.edu.ec/items/e70aade7-620f-4ea5-a2af-acc1499d82b7
Rodríguez, J. A. (2020). La descolonización epistemológica y la educación política en Colombia. Hacia una perspectiva ciudadana del buen vivir. Foro de Educación., 18(1), 47-65.
Ruiz, N. H. (2021). Diálogos entre el Buen Vivir, las Epistemologías del Sur, el feminismo decolonial y las pedagogías feministas. Aportes para una educación transformadora. . Estudios Avanzados, , (35), 16-28.
Suarez, M. (22 de febrero de 2022). Educación de Honduras en letargo por pandemia y pobreza, según exministro. Obtenido de El portal 24: https://elportal24.com/2022/02/la-educacion-de-honduras-en-letargo-por-la-pandemia-y-la-pobreza-segun-exministro/
Varela, O. J. (2024). Percepciones de directores, docentes y padres de familia sobre el abandono escolar en el III Ciclo de Educación Básica en Choluteca. Paradigma: Revista De Investigación Educativa, 31(52), 105–124. doi:10.5377/paradigma.v31i52.19494
Varela, O. J. (2025). El sistema educativo de Honduras: los retos y desafíos del siglo XXI. Revista Científica Tecnológica - ISSN: 2708-7093, 8(1), 87–100. Obtenido de https://revistas.unan.edu.ni/index.php/ReVTec/article/view/4991
© 2025 Revista Científica Estelí.
Este trabajo está licenciado bajo una Licencia Internacional Creative Commons 4.0 Atribución-NoComercial-CompartirIgual.