Silvia Dotres Zúñiga
Universidad de Holguín, Cuba
http://orcid.org/0000-0002-3953-892X
silvia.dotres@gmail.com
Gregorio Garciandía Mirón
Universidad de Camagüey Ignacio Agramonte Loyola, Camagüey, Cuba
http://orcid.org/0000-0002-4594-5548
gregorio.garciandia@reduc.edu.cu
Norma Sánchez Paz
Universidad de Holguín, Cuba
http://orcid.org/0000-0002-4310-5828
nspaz@uho.edu.cu
Libys Martha Zúñiga Igarza
Universidad de Holguín, Cuba
http://orcid.org/ 0000-0001-9669-8658
lmzi@uho.edu.cu
Reyner Pérez Campdesuñer
Universidad Tecnológica Equinoccial, Ecuador
http://orcid.org/0000-0002-2785-5290
reyner.perez@ute.edu.ec
Juan Marco Roja Molina
University of the West of England, Reino Unido
https://orcid.org/0000-0003-4248-216X
mark_3214@hotmail.com
31/07/2024
02/04/2025
La elaboración de un procedimiento para la gestión del riesgo económico en el costo total de las inversiones constructivas fue el resultado de un desarrollo teórico, metodológico y práctico. Este procedimiento se sustenta en un proceso sistemático que analiza, estima y evalúa los riesgos y exige, para su implementación, niveles comprobados de validez, fiabilidad y aplicabilidad. El estudio realizado por este colectivo de autores utilizó métodos teóricos de la investigación científica y modelación matemática, lo que permitió establecer deducciones confiables y una secuencia lógica en cada una de las fases del procedimiento. Además, se incluyó la técnica del Cuadro lógico de Ladov, la cual permitió evaluar el nivel de satisfacción con el procedimiento desde el criterio de expertos. El objetivo del estudio fue validar la confiabilidad y aplicabilidad de un procedimiento de gestión del riesgo económico en inversiones constructivas mediante técnicas de modelado y criterios de expertos. Los resultados muestran la validez del enfoque mixto empleado (cuantitativo complementado con el cualitativo), que aporta beneficios como coherencia en el proceso y satisfacción por parte de expertos respecto a la estructura y los aportes del modelo propuesto. Como resultado, se logró validar un instrumento eficaz que, desde su fase de estimación, permite prever económicamente el monto necesario dentro de una inversión constructiva para asumir los riesgos identificados.
Validez; procedimiento; gestión del riesgo económico; costo total en inversiones constructivas.
The elaboration of a procedure for economic risk management in the total cost of constructive investments was the result of a theoretical, methodological and practical development. This procedure is based on a systematic process that analyzes, estimates and evaluates risks and requires, for its implementation, proven levels of validity, reliability and applicability. The study carried out by this group of authors used theoretical methods of scientific research and mathematical modeling, which made it possible to establish reliable deductions and a logical sequence in each of the phases of the procedure. In addition, the Ladov’s Logical Table technique was included, which made it possible to evaluate the level of satisfaction with the procedure from the point of view of experts. The objective of the study was to validate the reliability and applicability of an economic risk management procedure in constructive investments by means of modeling techniques and expert criteria. The results show the validity of the mixed approach used (quantitative complemented with qualitative), which provides benefits such as consistency in the process and satisfaction on the part of experts with respect to the structure and contributions of the proposed model. As a result, we were able to validate an effective instrument that, from its estimation phase, allows to economically foresee the amount necessary within a constructive investment to assume the identified risks.
Validity; procedure; economic risk management; total cost in constructive investments.
Una inversión constructiva es un proceso de creación técnica y progresiva a través de fases con características, finalidades y términos diferentes, a un costo determinado para la obtención de bienes materiales y (o) de servicios (Dotres, Garciandía, & Sánchez, 2022). Según estos autores, las inversiones constructivas tienen un marco regulatorio específico para la determinación de dicho costo, que se construye por partidas sobre la marcha de la preparación técnica de la inversión. Además, señalan que es frecuente encontrar deficiencias en los costos estimados, debido a la omisión de eventos previsibles que pueden surgir durante la ejecución de la inversión. Esta falta de previsión, conduce con frecuencia, a desfasajes presupuestarios.
Al analizar las causas de dichos desfasajes presupuestarios se evidencia que fueron generados, en su mayoría, por razones económico - financieras vinculadas a cambio de precios; por estudios insuficientes en el diseño del proyecto técnico ejecutivo; por baja productividad del trabajo; por problemas de fuerza mayor generados por causas naturales; entre otras variadas causas. Dotres, Garciandía & Pérez, (2021) profundizan que las alteraciones de los presupuestos también son producidas por aspectos físicos relacionados con daños y roturas en los equipos que afectan el costo de inversión; y que dicho costo para las inversiones constructivas es tratado como costo total de inversión, el cual es deducido mediante una estimación que se realiza a través de una evaluación cuantitativa del costo probable.
Hoy se manifiestan limitaciones en el cómputo de los imprevistos previsibles o comunes propios en la fase de concepción del proyecto, que se demuestran o evidencian durante la fase de ejecución de la obra constructiva desde el costo total de inversión, lo que constituyen riesgos. Estos aspectos en la práctica mundial es algo común. Según Dotres (2024):
En Chile, (García et al., 2010); Irlanda, (Perera et al., 2011); Canadá, (Ruparathna & Hewage, 2015); China, (Chang et al., 2016) y Australia, (Li & Wang, 2016), se distinguen riesgos manifestados en el costo total, y se comprueba la vinculación entre la gestión del riesgo y el costo total de inversión. Entre los riesgos manifestados que declaran están las acciones que realiza el dueño de la inversión constructiva como modificaciones del proyecto, cambio de materiales de construcción, sustitución de trabajadores clave durante el proceso constructivo, el retraso en tomas de decisiones a lo largo del proceso constructivo, la inseguridad jurídica por indefiniciones contractuales o cambios de normativas (p. 39).
En Cuba también se han documento casos similares. Por ejemplo, en la rehabilitación del hotel Ordoño, en Holguín, en dos investigaciones (Dotres & Asencio, 2011 y Rivas, 2012) cuyo costo total de inversión mostró diferencias entre la estimación y la ejecución de un 28 por ciento, con causas derivadas de riesgos de origen tecnológico, ambiental y legal. Con posterioridad, Dotres (2024) analizó y comprobó los resultados de los autores anteriores en siete inversiones constructivas en la misma provincia en el periodo 2014-2018, en la que manifestaron diferencias entre el costo estimado en el proyecto y el costo real de ejecución. En ese sentido, dicha autora refiere que estos aspectos constituyen un problema a solucionar desde el proceso inversionista de la construcción en Cuba, debido a las erogaciones presupuestarias que traen consigo los desfasajes producidos entre los costos estimados en relación con los costos ejecutados.
Ante esta problemática, se ha elaborado un procedimiento para la gestión del riesgo económico en el costo total de las inversiones constructivas, con la finalidad de disminuir las afectaciones presupuestarias que suelen presentarse durante la ejecución de cualquier inversión constructiva desde bases científicas que necesita ser validado.
Fundamentación teórica
El riesgo es la posibilidad de que ocurra un efecto o evento no deseado por fenómenos, decisiones y resultados que traen consigo consecuencias negativas o positivas. Según Dotres (2024), en las organizaciones, el riesgo por su carácter universal puede manifestarse y afectar a cualquier área funcional. Su análisis implica una doble dimensión: objetiva, porque se desarrolla como herramienta de toma de decisiones y de previsión económica ante determinados contratiempos, y subjetiva, ya que está influenciada por los seres humanos que forman parte de esa toma de decisiones en un proceso complejo donde intervienen aspectos psicológicos como la duda, la voluntad y la expectativa. En ese sentido, Dotres, Garciandía, & Pérez, (2021) expresan que:
El análisis de los riesgos considera un conjunto de herramientas asociadas de forma correlacionadas para cada fase de su gestión que ayudan a la sistematización de procesos complejos desarrollados bajo incertidumbres (...) se analizan mediante procesadores estadísticos y redes sociales, un grupo de conceptos asociados a la gestión del riesgo que contribuyen a determinar cómo esto puede contextualizarse al análisis del costo total de inversión mediante la determinación de un conjunto de fases y sus correspondientes actividades (p.116).
También se revisaron instrumentos utilizados en la práctica mundial (Project Management Institute (PMI, 2017; Projects in Controlled Environments (Prince, 2017) y aquellos específicos del proceso inversionista de la construcción en Cuba mediante el Decreto 327 del 2014, emitida por el Consejo de Ministros de la República de Cuba (CMRC, 2014)]. Según Dotres (2024), este procedimiento también incorpora aportes y reconocimientos provenientes de:
14 experiencias clasificadas en modelos con enfoques metodológicos o procedimentales; instrumentos derivados de los modelos referidos con anterioridad; así como conocimientos de autores investigadores, líderes de la gestión del riesgo en universidades a nivel mundial (…) desde la integración, adaptación y aplicación de herramientas (p.47).
Por tanto, el modelo resultante ayuda a la reducción de las diferencias entre el costo estimado y el ejecutado en una inversión constructiva desde el manejo de la gestión del riesgo económico en el proceso constructivo.
Esta investigación realiza el análisis desde la relación modelación-verificación-validación como parte de un sistema. Este sistema es definido como “una estructura dinámica de personas, objetos y procedimientos organizados con el propósito de lograr ciertas funciones” (Montejo, 2013, p.6), y debe evidenciar niveles adecuados de seguridad, aplicabilidad y utilidad para su posterior aplicación. Para ello se utilizaron modelos matemáticos mediante las Redes de Petry (Petri, 1962) y los métodos de consenso a través del Cuadro Lógico de Ladov (Kuzmina, 1970) desde el criterio de expertos.
En el caso de la Red de Petri (Petri, 1962), fueron definidas por el alemán Carl Adam Petri, como una representación matemática o gráfica de un sistema o eventos discretos en el cual se puede describir la topología de un sistema distribuido, paralelo o concurrente a través de un proceso compuesto de varios pasos y etapas que cooperan mediante flujos de trabajo para la realización de un objetivo común. Esta, estudia los aspectos operacionales de una actividad de trabajo: cómo se estructuran, cómo se realizan, cuál es su orden correlativo, cómo se sincronizan, cómo fluye la información que soportan las tareas y cómo se le hace seguimiento al cumplimiento a través de modelos gráficos de comportamiento dinámico. Esta red ofrece una forma confiable de expresar procesos que requieren sincronía y aportan las bases para un análisis formal del sistema modelado.
Por otro lado, las ciencias sociales y humanísticas son las que utilizan con mayor frecuencia los innumerables métodos de validación desde el método del consenso a través del criterio de expertos. Un grupo de autores (Vega et al., 2020) refieren que, si bien ofrece una perspectiva acertada basándose en la opinión de personas experimentadas en el tema, conceden cierta subjetividad al consenso obtenido. En el orden social, la opinión de personas experimentadas tiene una gran importancia, puesto que es precisamente el ser humano el que determina en su práctica social, el uso y desarrollo de la ciencia y la tecnología.
La técnica de Ladov, debe su nombre a su creador Vsevolod Adolfovich Ladov para el estudio de la satisfacción en la profesión en carreras pedagógicas. Kuzmina (1970), refiere que su utilización es para el estudio de la satisfacción como vía indirecta de obtener un resultado, y se fundamentan en las relaciones que se establecen entre tres preguntas cerradas que se intercalan dentro de un cuestionario y cuya relación el sujeto desconoce. Estas tres preguntas se relacionan a través de lo que se denomina el Cuadro Lógico de Ladov. Por lo que, es la vía escogida para obtener niveles de satisfacción del procedimiento propuesto a validar en la presente investigación.
El objetivo de este estudio es validar la confiabilidad y aplicabilidad de un procedimiento de gestión del riesgo económico en inversiones constructivas mediante técnicas de modelado y criterios de expertos. Su importancia radica en el consenso alcanzado, tanto a nivel teórico como práctico. Por una parte, se reconoce la solidez de la estructura lógica, consistencia y confiablidad del proceso, donde no se muestra incoherencias que limiten el desarrollo consecutivo de fases y pasos y por otro lado, se comprueba a nivel de expertos que el procedimiento contiene los elementos necesarios para su aplicación.
La validez y la confiabilidad (o fiabilidad) en una investigación científica, es una forma de medir la calidad de un resultado propuesto. Para ello, se utilizan métodos cuantitativos y cuali-cuantitativos de forma complementada desde una investigación mixta que ayuda a predecir precisión, y consistencia lógica del procedimiento diseñado. Una investigación mixta según Guelmes & Nieto (2015), refiere que:
debe privar la "libertad de método" por lo que, (…) deben resaltarse más las bondades que las limitaciones de los enfoques cuantitativo y cualitativo y que la situación particular de cada investigación indicará si se debe utilizar uno u otro o ambos. (…)
para poder comprender la utilidad, alcance y naturaleza de los diseños mixtos. El investigador debe entender a fondo y haber realizado estudios tanto del enfoque cuantitativo como del cualitativo y estar abierto al cambio (p. 25-26).
Estos mismos autores, referencian a Hernández et al., (2006), en relación con la caracterización de diferentes enfoques del método mixto. Esta investigación se apropia del “Modelo de dos etapas” (Hernández et al., 2006) los que plantean que: “Dentro de una misma investigación se aplica primero un enfoque y después otro, de forma independiente o no, y en cada etapa se siguen las técnicas correspondientes a cada enfoque” (p.26).
Etapa 1. Revisión bibliográfica: para el enfoque teórico- metodológico
Dicha perspectiva es la utilizada en la presente investigación, que inicia con una revisión bibliográfica para la obtención del procedimiento, cuyo fin es un base teórico metodológico que ha ayudado a la modelación del objeto a validar. En ese sentido, Rojas et al. (2025) destacan que, en el campo de los sistemas constructivos, los modelos procedimentales resultan fundamentales:
se desarrollan con base a la postura teórica de diversos autores sobre el análisis de las relaciones entre un conjunto de metodologías, fases y herramientas de tecnologías de gestión de proyectos, aplicadas de forma ordenada y sistémica, que han logrado mejores resultados en su aplicación. Así mismo, se analizan los resultados obtenidos a partir de técnicas empíricas aplicadas a los principales gestores de metodologías de gestión de proyectos en el área de estudio. Esto implica un enfoque multidisciplinario de los métodos de investigación científica, tanto empíricos como racionales. Se emplearon diversos métodos racionales, entre ellos, el descriptivo, el analítico, el comparativo, el analítico-sintético, el inductivo-deductivo, el histórico-lógico, las analogías, el modelado, el sistémico-estructural-funcional y la sistematización (Rodríguez & Pérez, 2017, p. 5).
Se añade que los métodos cuantitativos en el presente estudio fueron utilizados a través de la modelación matemática del procedimiento, mediante el análisis de la fiabilidad del proceso establecido en la modelación (Quezadas y Alarcón, 2019). Para ello, se utilizó el software: Diseñador de flujo de control de redes de Petri, Workflow Petri Net Designer, [WoPed], denominado Software WoPed versión 3.7.1, 2018; (Van der A., et. al., 2004). Esta red ofrece una forma confiable de expresar procesos que requieren sincronía y aportan las bases para un análisis formal del sistema modelado (Acosta et al., 2016 y Herrera & Becerra, 2014).
Desde una perspectiva sistémica estructural, la modelación fue realizada por un especialista que introduce la información en el software y espera su procesamiento para la certificación de su estructuración técnica y procesal. La verificación teórica se realiza con la finalidad que todas las fases junto a los pasos determinados no producen saltos, evidenciando una secuencia lógica y coherente. Así mismo, las retroalimentaciones que se producen junto a los momentos de entrega de información establecen un flujo de trabajo único y correlacionado.
Etapa 2. Validación por expertos
Posteriormente, se trabajó desde una perspectiva de los métodos cualitativos, centrada en la validación del procedimiento desde una configuración social, mediante una valoración de la utilidad a través del criterio de expertos. Para ello, se utilizó la Norma Cubana [NC] 49 (1981). C, Calidad. Métodos de expertos elaborada por el Comité de Normalización de la República de Cuba. El proceso transita por dos tareas:
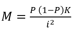
Tarea 1. Determinar la cantidad de expertos
La determinación del número de expertos se realiza utilizando criterios basados en la distribución binomial de probabilidad. Para esto se utiliza la expresión (1):
(1)
Donde:
M: Cantidad de expertos
i : Nivel de precisión deseado se fijó el valor de 0,13 (Alarcón, 2019)
P: Proporción estimada de errores de los expertos se utilizó el valor de 0,02 (Alarcón, 2019)
K Constante cuyo valor está asociado al nivel de confianza elegido
Los valores de K se ofrecen a continuación:
| Nivel de confianza (%) | Valor de K |
|---|---|
| 99 | 6,6564 |
| 95 | 3,8416 |
| 90 | 2,6896 |
Tarea 2. Selección de los expertos
Definida la cantidad de expertos se procede a la selección para lo que se realizaron las acciones siguientes:
Para cada uno de los posibles expertos y se adopta la siguiente regla de decisión:
Clasifican como expertos todos aquellos cuyos coeficientes estén entre 0.8 < Kej < 1.
Tabla 1.
Modelo para los criterios de selección aplicada a 40 especialistas nacionales e internacionales para la selección de expertos
| No. | Fuente | Escala | ||
|---|---|---|---|---|
| Alto | Medio | Bajo | ||
| 1 | Estudios teóricos realizados. | |||
| 2 | Experiencia obtenida. | |||
| 3 | Conocimientos de trabajos en el país. | |||
| 4 | Conocimientos de trabajo en el extranjero. | |||
| 5 | Consultas bibliográficas sobre el tema. | |||
| 6 | Cursos de actualización sobre el tema. | |||
Se entregó el cuestionario a los especialistas, con el objetivo de conocer el grado de conocimiento sobre el tema en cuestión. De acuerdo con los ítems que se le presentaron y la escala correspondiente, se marcó (X) en la casilla pertinente. La escala es ordinal donde 1 es el nivel más bajo y 10 es el más alto (tabla 1). Con los resultados del instrumento aplicado se calcula el valor del coeficiente, como se muestra la tabla 2.
Tabla 2.
Cálculo del coeficiente de experticia

La cantidad final de expertos quedó definida en ocho, seleccionados en función de su nivel de conocimiento sobre el tema, a partir de un grupo inicial de 40 personas, conforme al análisis realizado en la expresión 1 y fundamentado en la distribución binomial de probabilidad. Los expertos seleccionados resultaron representantes del Brasil, Ecuador, Colombia, México y Nicaragua. De ellos, cuatro son doctores (PhD) en ciencias económicas, tres en ciencias técnicas y uno en ciencias sociales.
El modelo propuesto se concibió y desarrolló como resultado de las concepciones teóricas y metodológicas y de la adaptación e integración de instrumentos afines al área de conocimiento que se estudia. Dicho modelo es un procedimiento, de tipo inferencial ya que las conclusiones, o resultados, que se obtienen con su aplicación se nutren de información cualitativa y cuantitativa que permiten la realización de predicciones asociadas a patrones de datos. Estos datos son ofrecidos por los riesgos manifestados en inversiones constructivas similares realizadas con anterioridad, para la planificación del costo estimado en el proyecto.
Para su implementación práctica, el modelo demanda de una validez y fiabilidad que muestre niveles de seguridad y aplicabilidad.
Las fases de la modelación de procedimiento para la gestión del riesgo económico en el costo total en inversiones constructivas
La modelación del procedimiento que se propone se organiza en tres fases y 10 pasos que incluyen actividades específicas para su aplicación, tal y como se muestra en la figura 1.
Figura 1
Procedimiento para la gestión del riesgo económico en el costo total de inversión para inversiones constructivas.

Nota: El objetivo del procedimiento, es incluir como parte del cálculo del costo estimado en el proyecto, un monto financiero que cubra las estimaciones monetarias de los riesgos probables a manifestarse durante la ejecución de la inversión constructiva, a través de herramientas y técnicas afines al análisis, la estimación y la evaluación.
En la validación, se trabajó primero en comprobar la secuencia del proceso como flujo de trabajo continuo entre todas sus fases y etapas. Un segundo momento se trabajó la satisfacción socio técnica del procedimiento en su totalidad, que sobre la base de la experiencia, de los instrumentos y técnicas que incorpora, es posible prever riesgos económicos, y su aplicabilidad es posible insertarla en el proceso inversionista de la construcción en Cuba.
El proceso de validez y fiabilidad mediante el programa informático WoPed (2018)
La verificación de las secuencias lógicas del flujo de trabajo del procedimiento se realiza mediante la aplicación de las redes de Petri (Acosta et al., 2016 y Herrera & Becerra, 2014), en el cual se modela: la topología, sucesión de las fases, pasos y las actividades así como las conexiones entre estas, que permite evaluar la existencia de condiciones en las cuales pudiera detenerse la aplicación parcial o total del proceso. De forma general se puede comprobar que:
Para el procesamiento del modelo se utiliza el Diseñador de flujo de control de redes de Petri, Workflow Petri Net Designer, [WoPed], mediante el Software WoPed versión 3.7.1, 2018; (Van der A., et. al., 2004) para el análisis de las relaciones entre las distintas fases y pasos. El proceso se desarrolla mediante tres tareas:
Tarea 1. Construcción del flujo del procedimiento
Se definen las condiciones y medios para realizar cada fase y paso, así como los resultados que se alcanzan considerando estos como nodos tipos “lugar” (p, place) y las actividades, eventos o acciones (unidades activas) se asumen como nodos del tipo “transición” (t, de transition). Los dos tipos de nodos anteriores se conectan mediante arcos direccionados que representan la secuencia de movimiento y causalidad.
Tarea 2: Caracterización de la condición inicial del proceso
Definida por una descripción de todos los pasos y tareas listados como leyenda usada en las redes de flujo de trabajo del procedimiento propuesto, se construye una tabla de identificación de los lugares y las transiciones, a partir de la simbología siguiente:
| Marco inicial (Mo, origin mark), Cumplimiento de las premisas del procedimiento (Cp) | |
| Nodo de lugar (p) | |
| Nodo de transición (t) | |
| Arcos | |
| F1P1-2 t | Código (fase 1, paso 1-2 nodo de transición) |
| La transición depende de la llegada de mensajes | |
| La transición depende de un tiempo de investigación | |
| Marco final (Mf, final mark) secuencia de condiciones definidas |
Tarea 3. Ejecución y verificación de las redes del flujo de trabajo a través del software WoPed, (2018)
La confección de la red se basa en describir de manera lineal y secuencial el flujo del procedimiento, a través del reconocimiento de dos nodos principales, el de transición y de lugar. Estos nodos están definidos por dos situaciones potenciales:
Así de forma secuencial y sucesivamente se produce un flujo de trabajo hasta cerrar el procedimiento completo. Se verifica la posibilidad de alcanzar el estado o momento final (Mf, final moment) previsto a partir del estado inicial a través de la secuencia de condiciones definidas en el procedimiento, cuyos resultados se muestran en la figura 3 y la tabla 1, respectivamente.
Figura 2
Diagrama de flujo de trabajo resultante del procedimiento propuesto a verificar.

Nota: El gráfico de la comprobación del flujo de trabajo del procedimiento propuesto, es el esperado porque permite establecer que las fases, pasos y actividades muestran un diseño adecuado para su ejecución.
Tabla 1
Resultados del análisis semántico de la red de flujo de trabajo del procedimiento propuesto
| Análisis cualitativo | Elementos analizados | Propiedades |
|---|---|---|
| Estructural | Nodo tipo lugar | 12 |
| Nodo tipo transición | 40 | |
| Operadores | 4 | |
| Subproceso | 0 | |
| Arcos | 66 | |
| Operadores usados erróneamente | 0 | |
| Violaciones de libre elección | 0 | |
| Robustez | Lugar inicial | 1 |
| Lugar final | 1 | |
| Componentes conectados | 52 | |
| Componentes fuertemente conectados | 52 | |
| Lugares no acotados | 0 | |
| Transiciones muertas | 0 | |
| Transiciones no vivas | 0 |
De forma general el procedimiento esta correlacionado de principio a fin, y todos sus componentes se encuentran conectados por lo que el flujo de trabajo es continuo. Estos elementos indican que es fiable en su estructura, sincronía y coherencia, por lo que se decide comprobar la validez desde una perspectiva social.
La validación del procedimiento por expertos usando la técnica Ladov
En la presente investigación desde el punto de vista social y mediante la aplicación del criterio de expertos, se llevaron a cabo tres tipos de análisis para la validación el procedimiento propuesto:
Figura 3
Rango de variación del ISG, resultado del Cuadro lógico de Ladov

Nota: Los valores del ISG oscilan entre -1 (mayor insatisfacción) y +1 (mejor satisfacción). Tomado de Medina (2016).
El análisis de la evaluación de la utilidad y factibilidad de uso del procedimiento se estructura en tres tareas que se articulan a dicha técnica (Cuadro lógico de Ladov) con la aplicación de tres índices que se analizan a continuación:
1-1 Índice de consenso [ICS],
1-2 Coeficiente de Variación, [CV] y el,
1-3 Índice de Satisfacción [ISG], utilizados por Quezada (2019).
Tarea 1-1. Cálculo del Índice de consenso [ICS]
El ICS, permite validar la propuesta a partir de verificar el nivel de consistencia de las respuestas de los expertos consultados con la aplicación de la expresión (2)
(2)
Donde:
: desviación estándar del juicio de los expertos para el criterio “i”; desviación estándar máxima posible del total de Ei de acuerdo con la escala empleada. Es la desviación estándar de las “n” evaluaciones de los “i” criterios, donde “N/2” toma el valor mínimo (1) de la escala utilizada y la otra mitad el valor máximo (5);
Cuando no se logra alcanzar el valor de 80% que establece como referencia Quezada (2019), para estos casos, el autor recomienda analizar los resultados del ICS por la técnica de Ladov.
Tarea 1-2. Cálculo del Coeficiente de variación, [CV]
En la medida que el valor del CV aumenta, mayor resulta la heterogeneidad de los valores de las variables correspondientes a cada ítem del cuestionario que se realiza. Según lo planteado por Quezada (2019) los valores de este coeficiente serán aceptables si resultan menores al 25 %. El coeficiente se determina por la expresión (3)
(3)
Tarea 1-3. Cálculo del Índice de Satisfacción Global [ISG]
La respuesta a tres preguntas facilita ubicar a cada experto en una escala de satisfacción, y luego se debe proceder a calcular el ISG, de acuerdo a la expresión (4).
(4)
La escala de satisfacción es la siguiente:
A: Clara satisfacción= +1
B: Más satisfecho que insatisfecho= +0.5
C: No definida= 0 o Contradictoria=0
D: Más insatisfecho que satisfecho= -0.5
E: Clara insatisfacción= -1
Donde:
N es el total de expertos del grupo
Principales resultados de la aplicación del cuadro lógico de Ladov
Los ítems evaluados superan el valor de 60% en el ICS, pero seis de ellos no alcanzan el valor de 80% que establece como referencia Quezada (2019). Para estos casos el autor recomienda analizar los resultados del ICS por el Cuadro lógico de Ladov. A continuación se procede al cálculo del CV mediante un cuestionario compuesto de 14 preguntas referidas en la tabla 3.
Tabla 3.
Resultado de la consulta a expertos CV
| Número de pregunta | Item evaluados | Xmed | CV | |
|---|---|---|---|---|
| 1 | Beneficio esperado | 6,22 | 0,33 | 5,32 |
| 2 | Ajuste a la realidad | 6,22 | 0,43 | 6,96 |
| 3 | Aplicabilidad | 6,22 | 0,70 | 11,19 |
| 5 | Coherencia interna | 6,56 | 0,43 | 6,61 |
| 7 | Coherencia externa | 6,89 | 0,33 | 4,80 |
| 8 | Comprensión | 6,78 | 0,70 | 10,27 |
| 9 | Eficiencia | 7,00 | 0,43 | 6,19 |
| 11 | Efectividad | 7,33 | 0,33 | 4,51 |
| 12 | Aceptabilidad | 7,44 | 0,33 | 4,44 |
| 13 | Retribuible | 7,33 | 0,70 | 9,49 |
| 14 | Contextualizable | 7,67 | 0,33 | 4,31 |
En este coeficiente cada uno de los aspectos evaluados cumple el requisito establecido por lo que se consideran satisfactorio, pues los valores de este coeficiente son menores al 25 %, como se expresa en la tabla 3.
Para determinar el ISG mediante la técnica de Ladov, se aplican las tres preguntas cerradas intercaladas en el cuestionario de 14 preguntas vinculadas con los ítems evaluados en la tabla 3 (Beneficio esperado, Ajuste a la realidad, Aplicabilidad, Coherencia interna, Coherencia externa, Comprensión, Eficiencia, Efectividad, Aceptabilidad, Retribuible, y Contextualizable) elaborado previamente y cuyo vínculo, los ocho expertos ignoran. Las preguntas deben llevar a los resultados de los ítems evaluados. La simbología y resultados se muestran, y se resumen en la tabla 4.
Tabla 4.
Resultado de la aplicación del Cuadro lógico de Ladov a los expertos
| Preguntas | Expertos | |||||||
|---|---|---|---|---|---|---|---|---|
| 1 | 2 | 3 | 4 | 5 | 6 | 7 | 8 | |
| 1 | 7 | 7 | 7 | 7 | 7 | 7 | 7 | 6 |
| 2 | 6 | 7 | 7 | 7 | 7 | 7 | 6 | 7 |
| 3 | 7 | 7 | 7 | 6 | 7 | 5 | 7 | 7 |
| 4 | SI | SI | No Se | SI | Si | Si | No Se | Si |
| 5 | 7 | 7 | 6 | 7 | 7 | 7 | 7 | 6 |
| 6 | Si | Si | Si | Si | Si | Si | No Se | Si |
| 7 | 6 | 7 | 7 | 7 | 7 | 7 | 7 | 7 |
| 8 | 7 | 7 | 7 | 6 | 7 | 7 | 7 | 5 |
| 9 | 6 | 7 | 7 | 7 | 7 | 6 | 7 | 7 |
| 10 | MSM | MSM | MSQI | MSM | MSM | MSM | MEI | MSM |
| 11 | 7 | 7 | 7 | 7 | 7 | 7 | 6 | 7 |
| 12 | 7 | 7 | 7 | 7 | 6 | 7 | 7 | 7 |
| 13 | 6 | 7 | 7 | 7 | 7 | 5 | 7 | 7 |
| 14 | 7 | 7 | 7 | 7 | 7 | 7 | 6 | 7 |
Nota: MSM: Me satisface mucho;
MSQI: más satisfecho que insatisfecho;
MEI: me es indiferente.
Resultados del procesamiento del cuestionario a los ocho expertos al aplicar la expresión cuatro:
8 expertos: A= 6, B= 1, C= 1, D y E= 0
(6x1) + (1x0.5) + (1x0) + (0x -0.5) + (0 x -1)/10 = 6,5/8 = 0.8125
La respuesta a las tres preguntas facilita ubicar a cada experto en una escala de satisfacción, y luego se calcula el ISG. La evaluación de los expertos mostró un ISG, de 0,8125 (figura 4) lo que implica que los expertos están satisfechos con la propuesta procedimental elaborada y por tanto lo consideran válido.
Figura 4.
ISG a través de la aplicación del Cuadro lógico de Ladov

Nota: Los valores del ISG están satisfechos al mostrarse entre 0,5 y uno.
Discusión crítica sobre las fortalezas y limitaciones del procedimiento propuesto
La modelación del procedimiento propuesto y su validación es importante, por lo que constituye una fortaleza al abrir una puerta a la mejora del proceso inversionista de la construcción en Cuba. La gestión del riesgo económico desde el costo total de inversión su proyección es incipiente y se puede imbricar en el proceso inversionista ya establecido en el país. Puede impactar en la planificación financiera de la inversión constructiva, en los plazos fijados para el retorno de la inversión, en los estudios de factibilidad técnico-económica y en los tiempos de ejecución, entre otros factores que inciden en el incremento del costo real de ejecución al cierre de dicha inversión desde la estimación de los riesgos económicos probables en cualquier inversión constructiva.
Por tanto, entre los beneficios esperados se destacan el ahorro económico que se produce en el cálculo del costo total de inversión, al prever financieramente, desde la etapa de estimación, un monto destinado específicamente a la gestión del riesgo. El procedimiento se ajusta al contexto cubano conforme al Reglamento del proceso inversionista y es aplicable a cualquier inversión constructiva que trabaje el marco presupuestario de la construcción.
De forma general el procedimiento a través de la validación en cuanto a su coherencia, sincronía y satisfacción es demostrada mediante su coherencia interna como externa, su comprensión, eficiencia, efectividad, aceptabilidad, retribuible y contextualizable. Estas características permiten su posible generalización a otros entornos empresariales.
Dentro de las limitaciones que puede encontrar el modelado del procedimiento propuesto en su aplicación está en la necesidad de contar con la voluntad y el compromiso con mejorar la planificación económica de las inversiones constructivas. Esto implica el uso de tecnologías de estimación del riesgo económico contempladas en el mismo, las cuales contribuyen a proporcionar un costo total de inversión de mayor exactitud.
El modelo procedimental desarrollado, ha sido validado desde un flujo de trabajo continuo entre todas sus fases y etapas, y con posterioridad desde la satisfacción socio técnica de un grupo de expertos, que sobre bases científicas ayuda a la reducción de las diferencias entre el costo estimado y el ejecutado en una inversión constructiva desde el manejo de la gestión del riesgo económico en el proceso constructivo.
Se demuestra que el método mixto en la investigación científica, al combinar los métodos cuantitativos y cualitativos robustece los resultados, y permite comprobar con solidez, los resultados esperados de la validación del procedimiento.
El método cuantitativo expuesto mediante el Diseñador de Flujo de Control de Redes de Petri, en su desarrollo establece un proceso binario que permite concatenar el proceso en un flujo de trabajo continuo y sincrónico, que si se producen fallos en el proceso, se determinan las incoherencias que hay que corregir desde los métodos y tareas propios del procedimiento. Una vez que se secuencia el punto inicial y el final, da una confiabilidad del 100% desde la correlación de procesos y pasos, lo que está en condiciones de aplicarse el procedimento.
El método cualitativo desde el logro del consenso social a través del Cuadro Lógico de Ladov, disminuye sesgos que puedan inferirse desde otros métodos que utiliza el criterio de expertos, al corresponder un proceso de índices que analizan la desviación estándar, el coeficiente de variación de consenso en los cuestionarios entre los expertos seleccionados y finalmente se analiza la satisfacción de los expertos seleccionados a través de niveles de satisfacción.
Esta investigación se encuentra en proceso de trabajo en el desarrollo de un software basado en el procedimiento propuesto, sin embargo este tema abre una perspectiva de trabajo en materia de riesgos económicos en el costo total de inversión en otros sectores económicos como la agricultura, la industria en general, entre otros.
Acosta E., Chiodi F., Fernández M., Tcach A. & Francesconi J., (2016). Etapas de validación y verificación en la construcción de modelos para la simulación de procesos industriales. Editorial Universitaria edUTecNe. Argentina.
Alarcón Q. (2019). Modelo de evaluación del Impacto del Talento Humano en la Responsabilidad Social Empresarial en ámbitos de estudios seleccionados del Cantón Ambato – Ecuador. [Tesis doctoral, Universidad de Matanzas, Cuba].
Chang, R., Soebarto, V., Zhao, Z., & Zillante, G. (2016). Facilitating the transition to sustainable construction: China´s policies. Journal of Cleaner Production, 131(10), 534-544.
Consejo de Ministros de la República de Cuba [CMRC] (2014). Decreto 327. Reglamento del proceso inversionista. Gaceta Oficial de la República de Cuba No. 5 Extraordinaria de 23 de enero de 2015.
Dotres, S., & Asencio, K. (2011). Gestión de riesgos en la Dirección Integrada de Proyecto, aplicada a la rehabilitación del hotel Ordoño en el núcleo urbano de Gibara, Holguín [Tesis de grado, Universidad de Holguín Oscar Lucero Moya].
Dotres Z., Garciandía M., & Perez C. (2021).Riesgos en los costos totales de inversión. Bases para la gestión en las inversiones constructivas.Revista científica Farem, Estelí. Medioambiente, tecnología y desarrollo humano. 38 (10), abril-junio, 116-131.
Dotres Z., (2024). Gestión de brechas asociadas a factores de riesgo en el costo total en inversiones constructivas del turismo [Tesis doctoral, Universidad de Holguín, Cuba].
García, J., Rodríguez, F., & Hruskovic, P. (2010). Gestión de riesgos en proyectos de construcción. Primer congreso de ingeniería de proyectos. Mayo 2010, Antofagasta, Chile.
Guelmes Valdés, Esperanza Lucía, & Nieto Almeida, Lázaro Emilio. (2015). Algunas reflexiones sobre el enfoque mixto de la investigación pedagógica en el contexto cubano. Revista Universidad y Sociedad, 7(1), 23-29.
Hernández Sampieri, R., Fernández-Collado, C., & Baptista Lucio, P. (2006). Metodología de la investigación. México. D.F:Mc Graw-Hill/ Interamericana editores S.A.
Herrera O. & Becerra L., (2014). Diseño general de las etapas de simulación de procesos con énfasis en el análisis de entrada. En: 12th LACCEI Latin American and Caribbean Conference for Engineering and Technology, LACCEI’2014. Guayaquil, Ecuador.
Kuzmina N., (1970). Metódicas investigativas de la actividad pedagógica. Editorial Leningrado.
Li, Wu, & Zhou, (2012). Deadlock control of automated manufacturing systems based on Petri nets—A literature review. Systems, Man, and Cybernetics, Part C: Applications and Reviews, IEEE Transactions on, 42(4), 437-462.
Medina N.,(2016). Instrumento metodológico para gestionar el conocimiento mediante el observatorio científico. [Tesis doctoral, Universidad de Matanzas, Cuba].
Montejo P., (2013). Verificación y validación de sistemas modelados mediante Redes de Petri. [Tesis de grado, Universidad Central Martha Abreu. Villa Clara, Cuba].
Norma Cubana [NC] 49 (1981:C).Calidad. Métodos de expertos. Comité de Normalización de la República de Cuba, La Habana.
Petri C., (1962). Kommunikation mit automaten. [Tesis doctoral, University of Bonn, Bonn, West Germany].
Perera, S., Hayles, C., & Kerlin, S. (2011). An analysis of value management in practice: The case of Northem Ireland´s construction industry. Journal of Financial Management of Property and Construction, 16(2), 94-110.
Project Management Institute [PMI] (2017). A Guide to the Project Management. Body of Knowledge. Guía del Pmbok. Sexta edición. Project Management Institute.
Projects in Controlled Environments [Prince] (2017).Projects in controlled environments. Stationery Office.
Quezadas T., (2019).Contribución a la gestión estratégica de la transferencia de tecnologías en Pymes manufactureras ecuatorianas. [Tesis doctoral, Universidad Central “Marta Abreu” de Las Villas, Cuba].
Ruparathna, R., & Hewage, K. (2015). Sustainable procurement in the Canadian construction industry; Current practices, drivers, and opportunities. Journal of Cleaner Production, 109, 305-314.
Van der Aalst W., & Kees, van H., (2004). Diseñador de Flujo de Control de Redes de Petri, Workflow Petri Net Designer, [WoPed], Software WoPed versión 3.7.1, (2018). Universidad Técnica de Eindhoven, Países Bajos.
Vega de la C., Lao L., Marrero D., & Perez P., (2020). Redes de Petri: una herramienta para la validación de procedimientos. Ciencias Holguín, Vol.26, No. 2, abril-junio.
© 2025 Revista Científica Estelí.
Este trabajo está licenciado bajo una Licencia Internacional Creative Commons 4.0 Atribución-NoComercial-CompartirIgual.