Luz Juliana López López
Universidad Nacional Autónoma de Nicaragua, Managua. Centro Universitario Regional de Estelí, UNAN-Managua/CUR-Estelí, Nicaragua
https://orcid.org/0000-0002-8973-2990
ljulianalopezl@gmail.com
Rosa Emilia Rivera Díaz
Universidad Nacional Autónoma de Nicaragua, Managua. Centro Universitario Regional de Estelí, UNAN-Managua/CUR-Estelí, Nicaragua
https://orcid.org/0000-0003-0746-2390
rr8432581@gmail.com
Sarahí del Carmen Carrasco Sánchez
Universidad Nacional Autónoma de Nicaragua, Managua. Centro Universitario Regional de Estelí, UNAN-Managua/CUR-Estelí, Nicaragua
https://orcid.org/0000-0003-2014-0660
sarahicarrasco27@gmail.com
Cliffor Jerry Herrera-Castrillo
Universidad Nacional Autónoma de Nicaragua, Managua. Centro Universitario Regional de Estelí, UNAN-Managua/CUR-Estelí, Nicaragua
https://orcid.org/0000-0002-7663-2499
cliffor.herrera@unan.edu.ni
16/10/2024
02/07/2025
La presente investigación tuvo como propósito validar una Guía de Aprendizaje para la enseñanza de la temática Relatividad de la Simultaneidad en estudiantes de IV año de la carrera de Física-Matemática de la UNAN-Managua/CUR-Estelí. Para ello, se diseñó, aplicó y evaluó una herramienta didáctica que responde a las principales dificultades identificadas en esta temática: baja comprensión teórica, complejidad matemática, desmotivación y bloqueos cognitivos. Adoptando un paradigma pragmático y enfoque mixto, que combina análisis cualitativo y cuantitativo, se logró valorar la percepción de los estudiantes y la efectividad de la propuesta. El proceso de muestreo se ajustó a una población finita, seleccionándose finalmente 22 participantes (17 estudiantes y 5 docentes) y se aplicó en el II semestre 2024. Los resultados obtenidos a partir del coeficiente de Pearson (0.95) permitieron rechazar la hipótesis nula, evidenciando que la Guía de Aprendizaje diseñada contribuye significativamente a mejorar la comprensión de conceptos relativistas, incluso en contenidos de alta complejidad. Estos hallazgos demuestran que, mediante recursos pedagógicos bien estructurados, es posible favorecer un aprendizaje duradero y motivador en la enseñanza de la Relatividad.
Enseñanza; comprensión; Relatividad de la Simultaneidad; Guía de Aprendizaje.
The purpose of this research was to validate a Learning Guide for teaching Simultaneity Relativity to fourth-year Physics-Mathematics students at UNAN-Managua/CUR-Estelí. To this end, a teaching tool was designed, applied, and evaluated that addresses the main difficulties identified in this subject: low theoretical understanding, mathematical complexity, demotivation, and cognitive blocks. Adopting a pragmatic paradigm and a mixed approach, combining qualitative and quantitative analysis, it was possible to assess the students’ perception and the effectiveness of the proposal. The sampling process was adjusted to a finite population, with 22 participants (17 students and 5 teachers) finally being selected, and was applied in the second semester of 2024. The results obtained from Pearson’s coefficient (0.95) allowed us to reject the null hypothesis, showing that the designed Learning Guide contributes significantly to improving the understanding of relativistic concepts, even in highly complex content. These findings demonstrate that, through well-structured pedagogical resources, it is possible to promote lasting and motivating learning in the teaching of Relativity.
Teaching; understanding; Simultaneity Relativity; Learning Guide.
Aprender sobre la Relatividad de la Simultaneidad no es tarea sencilla. Para muchos estudiantes representa un verdadero reto. No es solo por las fórmulas, sino por el tipo de pensamiento que desafía lo intuitivo y obliga a ver el tiempo y el espacio con otros ojos. A esto se le agrega el carácter abstracto del contenido, donde se requiere, conocimiento matemático avanzado de Cálculo, álgebra Lineal e incluso Análisis Matemático. Por estas razones, es común que se presenten bloqueos, desmotivación y dificultades persistentes para lograr una comprensión profunda y más al tener que repensar nuevos conceptos físicos (Bustamente Correa et al., 2019).
Es que, además del contenido, existe una realidad educativa que complica aún más el panorama: la escasez de recursos didácticos adecuados a temáticas consideradas complejas y con poca información actualizada, además del fuerte arraigo de metodologías tradicionales en las aulas. Se siguen dando exposiciones o conferencias magistrales, donde el conocimiento fluye en una sola dirección. Esto hace que los estudiantes se convierten en receptores pasivos, sin muchas oportunidades de experimentar, cuestionar o construir significados propios (Cuevas de la Garza & De Ibarrola Nicolín, 2015; Prado Orban et al., 2020). Esto deja en evidencia la necesidad de replantear la forma en que se enseña.
De igual manera, con frecuencia se pasa por alto la importancia de vincular ideas científicas con experiencias diarias, lo cual puede afectar significativamente el proceso de aprendizaje. El hecho es que, sin conexiones entre lo teórico y lo real, es simple perder interés o no comprender el concepto. Como señala Herrera-Castrillo (2024), explicar la Teoría de la Relatividad con ejemplos de la vida real no solo fortalece la comprensión, sino que también estimula el razonamiento físico y fomenta el compromiso genuino.
Dado este escenario, el presente estudio surge como una respuesta directa y consciente a una necesidad específica dentro del aula universitaria. No se trata de una sugerencia espontanea, sino de un plan hecho para cambiar la forma en que una problemática puede ser vista y volverse interesante para los estudiantes y así mantener la atención en él. El concepto se vuelve sencillo: comprender sobre la Relatividad de la Simultaneidad no es una carga, sino un desafío para los docentes universitarios.
La relevancia social, en este artículo científico, radica en que, aunque, aun existan desigualdades educativas que marcan el acceso y permanencia en carreras científicas (que llevan Física y Matemáticas), no se trata solo de mejorar la comprensión de un tema complejo como la Relatividad de la Simultaneidad. Lo que está en juego es algo mucho más profundo: el derecho de cada estudiante a acceder al conocimiento de forma significativa, motivadora y adaptada a sus realidades, donde pueda aprender desde su entorno.
Esta investigación realizada en una universidad pública no surge como un ejercicio aislado. Representa un cúmulo de esfuerzo en búsqueda de la calidad educativa donde toma valor las voces, emociones y trayectorias de los estudiantes, que en ocasiones se resisten a aprender en vez de disfrutarlo.
Se vuelve importante, hacer mención que el contar con una guía de aprendizaje clara, bien estructurada y con un sustento teórico y metodológico sólido, permite a los docentes de Física y Matemáticas tener una herramienta didáctica funcional, capaz de adaptarse a otras asignaturas o áreas de conocimiento. Esta propuesta no se queda en un solo tema: tiene el potencial de extenderse a otros contenidos de la Física Moderna e incluso a componentes afines, incidiendo positivamente en distintas asignaturas y niveles educativos.
Teóricamente, este estudio añade un peldaño a la construcción de conocimiento sobre cómo se enseña y se aprende en las ciencias exactas dentro del contexto latinoamericano, ya que los problemas de aprendizaje en Física son más frecuentes de lo pensado (Gonzalez Lizarazo et al., 2023; Herrera-Castrillo, 2024). Resulta valiosa la propuesta de este estudio, ya que se respalda con evidencia empírica, lo que permite llenar vacíos en la literatura existente sobre la enseñanza de la relatividad desde un enfoque por competencias. Esto permite reflexionar a fondo sobre cómo se relacionan factores como la motivación, la comprensión conceptual y el rendimiento académico, sobre todo cuando se trata de temas tan exigentes.
Desde lo propiamente metodológico, la validación de la guía es un aporte más que significativo. La combinación de las dimensiones cuantitativas y cualitativas permiten abordar el fenómeno educativo desde escalas diversas, logrando un entendimiento más rico y complejo del mismo. Por ello, este estudio no solamente está validando una propuesta concreta, sino que aparece como un modelo posible de replicar para otros trabajos de similar temática.
Para obtener una mejor compresión del lugar de esta propuesta dentro de la educación actual es necesario una revisión profunda de sus antecedentes. Cambiando de perspectiva, eso es echar un vistazo hacia atrás en los estudios de distintos autores que han enfrentado desafíos semejantes y, sin duda, que sentaron las bases de este estudio. No es suficiente con saber qué se ha hecho, también es preciso recurrir a las bases de la estrategia pedagógica, que a su vez se derivan de los principios físicos tras los que se justifica el contenido. Por ello, a continuación, se presentan, por un lado, los aportes más relevantes de investigaciones previas tanto a nivel internacional, nacional como local y por otro, los ejes teóricos que permiten anclar esta propuesta dentro de una visión didáctica y científica coherente.
En el plano internacional, varios estudios han dado respaldo enfoques más activos y participativos para la enseñanza de la Relatividad de la Simultaneidad. Por ejemplo, Cuevas de la Garza y De Ibarrola Nicolín (2015), al trabajar con 599 estudiantes en México, demostraron que las estrategias experimentales impulsan el desarrollo del estudio independiente. En la misma línea, Mar-Cornelio y Bron-Fonseca (2017), en Colombia, validaron una Base Orientadora de la Acción (BOA) con un grupo de 24 universitarios, logrando mejoras visibles en su autonomía.
Se tiene que Otero et al. (2019), desde un enfoque más escolar, evidenciaron con 128 estudiantes de secundaria que los conceptos de relatividad pueden y deben abordarse desde etapas tempranas. Por su parte, Bustamante Correa et al. (2019) no solo resaltaron la dimensión formativa de estos contenidos, sino también su potencia transformadora en la sociedad.
En Nicaragua, se han realizado varios estudios, donde se abordan las BOA como recurso didáctico en educación superior, mostrando su estructura y funcionalidad en el aula de clase. También se presentan definiciones básicas y comprensible de la Teoría Especial de la Relatividad. (Aburto Jarquín, 2020; Cuevas, 2017; Dávila Matute et al., 2023)
Las investigaciones llevadas a cabo en la UNAN-Managua/CUR-Estelí, presentan la aplicación de las BOA en Física de segundo año de la carrera Física-Matemática. También, reflexiones, retos de la educación en la enseñanza de temas considerados abstractos y complejos a través de prácticas experimentales y el uso de simuladores. Asimismo, se detalla un trabajo de competencias investigativas que son tan relevantes para poder comprender temas de Mecánica Relativista (Herrera Arróliga & Herrera Castrillo, 2023; Herrera-Castrillo, 2024; Triminio-Zavala et al., 2023).
Los datos presentados evidencian de manera contundente que la enseñanza de la ciencia trasciende la mera memorización de la teoría. Se centra en establecer conexiones entre conceptos abstractos y las experiencias concretas de los estudiantes. Siendo que sea más impecable una explicación, si no logra conectar con quien la escucha, ya que simplemente se diluye. La verdad es que el reto no está solo en transmitir, sino en lograr que el conocimiento resuene, despierte preguntas y genere sentido.
Diversas investigaciones tanto internacionales como nacionales han coincidido en algo fundamental: cuando se diseñan recursos didácticos con una intención pedagógica bien pensada, como es el caso de las guías basadas en la BOA, la enseñanza de la Física puede transformarse radicalmente. No es exagerado decir que, el aula deja de ser un espacio rígido para convertirse en un laboratorio de ideas, donde la curiosidad, la reflexión y el pensamiento crítico no son extras representan el corazón mismo del aprendizaje.
Por eso, este estudio no parte de cero. Más bien, se suma a una trayectoria ya andada, con la intención de aportar una propuesta que no solo esté contextualizada y bien pensada, sino que también tenga ese toque de innovación tan necesario hoy. Comprender el entorno donde nace esta iniciativa requiere ampliar la mirada: en Nicaragua, la gratuidad de la educación superior ha abierto puertas que antes estaban cerradas para muchos. Miles de jóvenes hoy pueden estudiar sin que el dinero sea un obstáculo insalvable. Sin embargo, esta conquista trae consigo un nuevo desafío: ya no basta con enseñar como antes. Innovar en la práctica docente no es un lujo, es una urgencia. No solo para llegar a más estudiantes, sino y esto es aún más importante para llegar mejor, con estrategias pedagógicas que realmente respondan a las exigencias del presente (Herrera, 2024).
García Hernández y de la Cruz Blanco (2014), argumentan que estas guías fomentan la autonomía del estudiante al proporcionar un marco que estimula su iniciativa, sin relegar la estructura fundamental necesaria para progresar de manera significativa. En el presente análisis, la guía propuesta no se origina de manera casual, sino que resulta de un proceso intencionado basado en un Diseño de Orientación Académica (BOA), lo que le otorga coherencia pedagógica y la alinea con los principios de la educación basada en competencias.
Según Blanco Vásquez (2022), la Relatividad de la Simultaneidad, es un conjunto de elementos que la relacionan: el tiempo, los sistemas de referencia, movimiento inercial, contracción de la longitud. Es decir que no es propiamente absoluta, sino que se enmarca más a un evento relativo al movimiento. En consecuencia, se tiene que, si se desea medir la longitud de un objeto, es necesario tomar el punto A y el punto B de manera simultánea y encontrar la distancia. Sabiendo que la simultaneidad es un concepto relativo, la distancia encontrada de igual manera será relativa y estará en dependencia del sistema de referencia que se utilice.
La incorporación del contenido de esta naturaleza dentro de una guía de aprendizaje requiere no solo la precisión conceptual sino también una sensibilidad pedagógica elevada. No se trata de simplificar la teoría, sino de trazar caminos que acerquen al estudiante a ella. Caminos que conecten con su experiencia, que lo inviten a dudar, imaginar, calcular, comparar e involucrarse activamente. El objetivo es que el aprendizaje no ocurra solo desde la razón, sino también desde la curiosidad y la emoción. Y es justamente ahí donde esta propuesta cobra mayor sentido: en su intención de convertir la Física en algo más que fórmulas. En una forma de pensar el mundo, de interpretarlo críticamente y de posicionarse frente a él con una mirada más amplia y consciente.
Por todo lo anterior, el objetivo general es validar una Guía de Aprendizaje para la enseñanza de la temática Relatividad de la Simultaneidad en estudiantes de IV año de Física-Matemática de la UNAN-Managua/CUR-Estelí, durante el segundo semestre de 2024.
De manera coherente con este objetivo, se formularon las siguientes hipótesis:
Tipo de estudio
Comprender a fondo lo que ocurre en el aula cuando se enseña un tema tan abstracto como la Relatividad de la Simultaneidad requiere una mirada que no se quede en la superficie. Por eso, en este estudio se optó por un enfoque mixto, convencidos de que era la mejor forma de acercarse al fenómeno educativo desde distintos ángulos. Esta combinación permitió no solo validar hipótesis con datos numéricos sólidos, sino también sumergirse en el contexto, escuchar voces, observar dinámicas y recoger matices que solo lo cualitativo puede revelar. Como bien explican Padilla-Avalos y Marroquín-Soto (2021), esta fusión metodológica no solo enriquece el análisis, sino que también refuerza la confiabilidad de los hallazgos al equilibrar lo objetivo con lo interpretativo.
Además, se trató de una investigación no experimental, lo que significa que no se modificaron las condiciones del entorno ni se intervino artificialmente en el aula. Al contrario, se observó lo que sucedía tal cual, en su estado natural. Esta decisión responde a lo que Ponce Rivera et al. (2018) destacan como una ventaja: comprender los fenómenos tal y como emergen, sin alterar su dinámica. Y es que hay algo valioso en mirar el aula como un ecosistema vivo, lleno de interacciones reales que, cuando se observan con atención, hablan por sí solas.
De acuerdo, con su objeto de estudio la investigación resulta de tipo descriptivo. Ramos Galarza (2020), señala que los estudios descriptivos facilitan este proceso, integran datos cuantitativos y cualitativos y fomentan la construcción de una comprensión más completa del fenómeno educativo. Con el fin de llevar a cabo una evaluación exhaustiva de la guía propuesta, era imperativo tener un entendimiento profundo del contexto en el cual se implementaría.
Como indican Manterola et al. (2023), de acuerdo con su temporalidad, este estudio es transversal, ya que este se desarrolla durante el segundo semestre 2024. El escenario de esta investigación es la UNAN-Managua/CUR-Estelí, universidad pública reconocida en el norte de Nicaragua.
Población y muestra
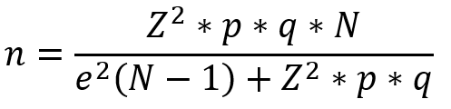
La población estuvo conformada por 18 estudiantes de cuarto año de la carrera de Física-Matemática en la UNAN-Managua/CUR-Estelí, quienes abordaban el componente específico trabajado en esta investigación. La muestra final consideró 17 estudiantes, ya que uno no asistió a clases. Para su selección se aplicó un muestreo aleatorio simple, garantizando igualdad de oportunidades para cada estudiante (Hernández & Carpio, 2019).
(1)
Donde
n= Tamaño de la muestra
N= Tamaño de la población
p= Ocurrencia positiva %
q= Ocurrencia negativa % (1-p)
Z= Nivel de confianza
e= Error (100-Z)%
Aplicar la fórmula con
N=18
N_Final=18-1=17 [1 estudiante no participó]
Z=97%=2.17
e=100-97=3%=0.03
p=0.5
En cuanto al personal docente, se trabajó con una población de 18 docentes de la carrera Física-Matemática y una muestra de cinco maestros, seleccionados de forma intencionada por su experiencia en el área de Física y disposición. Este grupo fue seleccionado mediante muestreo no probabilístico, dada su relevancia para el estudio.
Instrumentos para la recolección de la información
Al ser un estudio mixto, se utilizaron instrumentos tanto cualitativos como cuantitativos, los cuales fueron seleccionados cuidadosamente. Las técnicas e instrumentos empleados fueron:
Un cuestionario a los estudiantes para obtener información sobre cuán clara, útil y relevante les parecía la Guía de Aprendizaje que utilizaron. Esta herramienta fue clave para ver no solo si comprendieron los temas, sino también cuánto los inspiró la propuesta. También se utilizó una guía de entrevista semiestructurada con cinco profesores del área, quienes compartieron ideas importantes para asegurar que la propuesta de enseñanza era efectiva.
Las entrevistas tenían como objetivo conocer las opiniones sobre la aplicación de la Guía y también identificar áreas que podrían mejorar, basándose en la experiencia de los docentes. No se trataba solo de hacer preguntas, sino de observar personalmente lo que sucedía en el aula. Se agregó una hoja de observación para registrar cómo se desarrollaban las clases en las que se utilizó la Guía.
Esta herramienta se utilizó para anotar aspectos importantes, como la participación de los estudiantes, las técnicas de enseñanza que empleaba el profesor y la manera en que se relacionaban entre ellos en clase. Estas herramientas ofrecieron una visión clara de todo el proceso. Ayudaron a comparar los resultados de diferentes fuentes y a escuchar a las personas que vivieron esta experiencia educativa. Así, se pudo conocer sus pensamientos, sentimientos, expectativas y lo que aprendieron.
Etapas de la investigación
El desarrollo de la presente investigación se organizó en diversas etapas que, aunque progresivas, estuvieron profundamente interrelacionadas para garantizar una coherencia metodológica integral. A continuación, se describe de manera narrativa cada fase:
1. Identificación del problema y formulación del objetivo
El proceso inició con una observación directa en el aula universitaria y experiencias al haber recibido la asignatura de Mecánica Relativista, donde se identificaron múltiples dificultades en la comprensión de la temática Relatividad de la Simultaneidad. Esta problemática se expresó en la baja participación, confusión entre conceptos clásicos y relativistas (se contradicen entre sí) y desmotivación del estudiantado. A partir de este diagnóstico inicial, se formuló el objetivo general del estudio: validar una Guía de Aprendizaje que permitiera mejorar la comprensión de este contenido en estudiantes de IV año de la carrera de Física-Matemática de la UNAN-Managua/CUR-Estelí.
2. Revisión teórica y justificación del estudio
Posteriormente, se realizó una revisión de la literatura científica y documentos curriculares, tanto a nivel nacional como internacional, lo cual permitió contextualizar la propuesta dentro de un enfoque por competencias. Este proceso fortaleció la fundamentación teórica y pedagógica de la investigación, además de justificar su relevancia académica y social, particularmente en la educación superior pública nicaragüense.
3. Diseño metodológico y selección de participantes
De acuerdo a la naturaleza del problema, se trabajó un enfoque mixto, de tipo descriptivo y no experimental, desarrollándose durante el segundo semestre de 2024. La muestra estuvo conformada por 17 estudiantes y 5 docentes, seleccionados a través de técnicas de muestreo aleatorio simple (para estudiantes) y muestreo intencionado (para docentes).
4. Diseño, validación y aplicación de la Guía de Aprendizaje
La propuesta metodológica se materializó a través de una Guía de Aprendizaje diseñada para abordar las dificultades detectadas en Mecánica Relativista. Una vez construido el documento fue revisado y validado por expertos del área, quienes dieron sugerencias con rigor científico en aspectos de contenido, estructura y enfoque pedagógico. Luego de realizar estos ajustes, la guía fue aplicada con estudiantes de IV año de Física-Matemática de la UNAN-Managua/CUR-Estelí, permitiendo observar su efectividad en la práctica. Esta aplicación no solo incluyó una simple distribución del material, sino que implicó el uso de momentos pedagógicos articulados (diagnóstico, conceptualización, práctica y evaluación), promoviendo la participación activa, el pensamiento lógico, crítico y la integración de saberes, muestra de ello se encuentra en Anexos.
5. Recolección y análisis de datos
Para recolectar la información antes y durante la aplicación de la guía, se utilizaron diferentes técnicas e instrumentos de la recolección de datos: cuestionarios con escala Likert, guías entrevistas semiestructuradas y hojas de observación. En donde el análisis cualitativo se realizó con ayuda del software QDA Miner, a su vez la parte cuantitativa se ejecutó mediante Jamovi y Excel. Esta triangulación metodológica permitió identificar con precisión los logros y las áreas de mejora de la propuesta, brindando solidez a los hallazgos.
6. Conclusiones, recomendaciones y socialización de resultados
Se elaboraron las conclusiones del estudio, de acuerdo a los resultados de la aplicación de la Guía de Aprendizaje sobre la comprensión conceptual y la motivación de los estudiantes. Las recomendaciones se realizaron para fortalecer las prácticas docentes en contenidos considerados abstractos como es el caso de la Física Moderna, desde la aplicación y codificación de los instrumentos.
Por último, como indica Herrera-Castrillo (2024) “se llevó a cabo la divulgación de los resultados del estudio. Esto incluyó la publicación del artículo científico en una revista especializada y la socialización de los hallazgos con la comunidad académica” (p. 79). A través de esta divulgación se contribuye a la comunidad educativa nacional y regional con temáticas poco estudiadas dada su complejidad conceptual.
El proceso de validación y aplicación de la Guía de Aprendizaje sobre la Relatividad de la Simultaneidad permitió recoger evidencias valiosas acerca de su pertinencia, claridad y utilidad en el contexto universitario. La información recabada no solo refleja el impacto de la propuesta en el proceso de enseñanza-aprendizaje, sino que también abre espacio para el análisis reflexivo sobre los retos y oportunidades de incorporar estrategias didácticas con enfoque por competencias en contenidos complejos de la Física. Además, se articulan los resultados con estudios previos y marcos teóricos que permiten comprender mejor la relevancia de esta intervención pedagógica.
Situación detectada y necesidad de intervención
Desde los primeros acercamientos al aula, a través de observaciones directas y entrevistas a docentes, se hizo evidente una situación recurrente: los estudiantes mostraban confusión al abordar temas de la Teoría Especial de la Relatividad, en particular la Relatividad de la Simultaneidad. Las preguntas sin responder, los silencios al momento de resolver problemas, y los intentos fallidos por conectar ideas físicas con representaciones gráficas o algebraicas, revelaban una comprensión fragmentada y, en ocasiones, meramente memorística. Esta experiencia en el aula no fue una sorpresa, sino una constatación de lo que Bustamante Correa et al. (2019) ya han descrito: se trata de un contenido con alta carga de abstracción conceptual y exigencias matemáticas que frecuentemente desembocan en desmotivación o frustración estudiantil.
La observación también permitió identificar un patrón preocupante: la enseñanza seguía anclada en métodos expositivos tradicionales, donde el docente explicaba y el estudiante escuchaba, sin espacio real para explorar, experimentar o equivocarse. En este sentido, lo observado coincide con el planteamiento de Cuevas de la Garza y De Ibarrola Nicolín (2015), quienes afirman que este tipo de metodologías limita seriamente la participación activa y reduce las posibilidades de construir significados propios. La ausencia de materiales adaptados, secuencias didácticas estructuradas o estrategias con enfoque competencial reforzaba la necesidad urgente de diseñar una propuesta diferente.
Fue en este escenario donde surgió la intervención: elaborar una Guía de Aprendizaje fundamentada pedagógicamente, que sirviera no solo como herramienta para enseñar, sino como puente entre la teoría relativista y la experiencia concreta del estudiante. Herrera-Castrillo (2024), señala que es clave articular el contenido científico con contextos cotidianos, pues solo así se favorece una comprensión duradera, significativa y motivadora. La guía propuesta busca precisamente eso: que el aula deje de ser un espacio de transmisión y se convierta en un entorno donde pensar, preguntar y construir sentido desde la física.
Diseño y estructura de la Guía de Aprendizaje
El diseño de la Guía de Aprendizaje no surgió de la nada ni fue producto del azar. Fue el resultado de una observación atenta, casi como quien escucha con detenimiento lo que sucede en el aula. Cada sección, cada actividad, cada indicación dentro de la guía, responde a una necesidad real identificada tanto en la práctica docente como en los relatos y expresiones de los propios estudiantes. La verdad es que, enseñar Relatividad de la Simultaneidad exige más que una buena explicación: requiere construir un puente entre conceptos abstractos y la forma concreta en que los estudiantes piensan y sienten el mundo físico.
Gracias a las entrevistas realizadas a los tres expertos se logró encontrar la categoría emergente "Las Guías de Aprendizaje son instrumentos teóricos y prácticos que incluyen elementos claves para el desarrollo de un contenido. Su elaboración se basa en utilizar fuentes de información confiables, enriqueciéndose con la experiencia y conocimientos, practicando la creatividad, contextualización de contenidos y métodos de enseñanza. Durante el proceso se presentan desafíos, superados principalmente por la comunicación constante con los estudiantes y colegas, además de la flexibilidad, todo esto con el propósito de contribuir al aprendizaje".
La estructura de la guía fue cuidadosamente pensada para acompañar al estudiante en un proceso progresivo y significativo (Dávila Matute et al., 2023). Comienza con una motivación inicial que plantea preguntas clave, esas que despiertan la curiosidad y siembran la duda productiva. Luego, se incorporan actividades que permiten explorar ideas previas, activar conocimientos relacionados y conectar la experiencia cotidiana con los conceptos científicos. No se trata solo de resolver ejercicios, sino de provocar razonamientos, fomentar comparaciones y generar reflexiones genuinas.
Cada segmento de la guía está articulado con una lógica pedagógica clara: primero se comprende, luego se representa y finalmente se aplica. Por eso, incluye ilustraciones, ejemplos visuales, analogías, y hasta situaciones hipotéticas que hacen más digerible el contenido. Además, se promueve la autoevaluación y la metacognición, mediante preguntas que invitan al estudiante a mirar su propio proceso de aprendizaje con ojos críticos.
Figura 1. Estructura de la Guía de Aprendizaje

Este diseño y estructura de la Guía de Aprendizaje no solo responde a la necesidad puntual detectada en el aula, sino que también dialoga con experiencias previas significativas. Tal como lo señalaron Herrera Arróliga y Herrera Castrillo (2023), una herramienta pedagógica bien fundamentada, como una guía basada en una Base Orientadora de la Acción, puede transformar la enseñanza de temas complejos como la Relatividad de la Simultaneidad. En ambos estudios se evidencia que, la articulación entre teoría y práctica favorece no solo la comprensión conceptual, sino también la autonomía del estudiantado. Lo que se presenta en este trabajo confirma dichos hallazgos, y además avanza al incluir la experiencia de campo, la observación participante y la perspectiva de docentes que enfrentan diariamente estos retos en el aula. Asimismo, se potencian aspectos como el enfoque por competencias y el aprendizaje activo, demostrando que el trayecto hacia una educación científica más relevante se edifica desde la práctica reflexiva y contextual.
Aplicación de Guía de Aprendizaje en un enfoque por competencia
La aplicación de la Guía de Aprendizaje no solo fue una técnica educativa, sino también una oportunidad para promover en el aula universitaria un modelo de enseñanza que se centra en la autonomía, el pensamiento crítico y la solución de problemas. Desde el principio, la propuesta situó al estudiante en el centro del proceso, fomentando el uso activo del conocimiento en lugar de solo memorizarlo. Esta experiencia se alinea con lo que dicen García Acosta y García González (2022), al señalar que el enfoque por competencias permite a los estudiantes usar lo que saben en situaciones específicas, lo que promueve un aprendizaje significativo. La guía no solo compartió información sobre la Relatividad de la Simultaneidad, sino que también ofreció desafíos que requerían análisis, toma de decisiones y trabajo en equipo.
La guía mostró ser efectiva al estructurarse en momentos pedagógicos coherentes: diagnóstico, conceptualización, práctica y evaluación. Este enfoque metodológico facilitó la unión de lo teórico y lo práctico, siguiendo la estructura de una secuencia didáctica adaptable pero clara. Los hallazgos mostraron que los estudiantes pudieron no solo entender los principios físicos del fenómeno, sino también analizar sus implicaciones de manera crítica.
Esto coincide con el estudio de Herrera Arroliga y Herrera Castrillo (2023), quienes destacan que las buenas prácticas educativas deben promover tanto la comprensión como la acción, es decir, el aprendizaje con sentido. En contraste con modelos tradicionales, la guía permitió vivenciar el contenido en lugar de solo escucharlo, lo cual generó un ambiente más participativo, reflexivo y motivador. La verdad es que, cuando la enseñanza se construye con el estudiante, el conocimiento deja de ser abstracto para convertirse en experiencia viva.
En la prueba de hipótesis se establece la correlación de variables, por ello se seleccionó la pregunta “¿Cómo piensa que será la clase?” resumiéndose en la variante “Expectativas” esta fue analizada mediante la escala Likert, complementada con el uso del programa Jamovi, el cual proporcionó la tabla de frecuencia y la representación gráfica.
Tabla 1. Frecuencias de expectativas estudiantiles respecto a la Guía de Aprendizaje implementada
| Expectativas | Frecuencias | % del Total | % Acumulado |
|---|---|---|---|
| Excelente | 9 | 52.9 % | 52.9 % |
| Muy bueno | 5 | 29.4 % | 82.4 % |
| Regular | 2 | 11.8 % | 94.1 % |
| Bueno | 1 | 5.9 % | 100.0 % |
A la luz de los resultados presentados, se observa que más del 80 % de los estudiantes expresaron expectativas positivas sobre la experiencia didáctica basada en la Guía de Aprendizaje, catalogándola como “Excelente” o “Muy buena”. Este dato no es menor, pues refleja no solo una aceptación del recurso, sino también una disposición favorable hacia el proceso de aprendizaje. En contraste con enfoques tradicionales, donde predomina la transmisión unidireccional del contenido, esta propuesta se posiciona como una alternativa que estimula la anticipación activa del aprendizaje, un factor clave en la motivación estudiantil.
Esto está de acuerdo con lo que mencionan Herrera Arroliga y Herrera Castrillo (2023), quienes indican que, cuando la educación se crea junto al estudiante y no solo para él, se produce una experiencia de aprendizaje que cambia la forma en que se entiende el conocimiento. Los autores destacan que el aprendizaje significativo ocurre cuando se le da un papel principal al estudiante, tanto en la creación como en la evaluación del proceso de aprendizaje. Los resultados que se han conseguido no solo respaldan el recurso utilizado, sino también la lógica educativa que lo acompaña: se trata de una guía enfocada en la experiencia, en el diálogo reflexivo y en alcanzar habilidades.
La Guía de Aprendizaje que aplicó no solo incluyó actividades importantes para mejorar habilidades, sino que también incorporó una rúbrica de evaluación diseñada para medir cuatro aspectos esenciales: la participación activa, la comprensión del tema, la integración de contenidos y el respeto a las reglas. Esta herramienta, que se encuentra en los Anexos, ofreció una visión más clara del rendimiento de cada estudiante, lo que ayudó a identificar sus puntos fuertes y aquellas áreas donde pueden mejorar. La rúbrica se centró en evaluar y formar, fomentando la reflexión personal y el trabajo en equipo en el aula.
La Tabla 3 presenta los porcentajes que se obtuvieron de su uso, mostrando de manera clara los logros alcanzados y los retos que aún quedan por superar. Estos instrumentos convierten la evaluación en una oportunidad constante para aprender y crecer juntos.
Tabla 2. Valoraciones del grupo en participación, comprensión del tema, integración y disciplina
| Criterio evaluado | Cantidad de estudiantes | Porcentaje (%) |
|---|---|---|
| Participación | 3 | 17.60% |
| Comprensión del tema | 5 | 29.40% |
| Integración | 5 | 29.40% |
| Disciplina | 4 | 23.50% |
| Total | 17 | 100% |
Desde un punto de vista cuantitativa, la tabla 3 revela que el 29.40 % del grupo valoró de manera positiva tanto la comprensión del tema como la integración, lo que deja ver que la Guía de Aprendizaje logró facilitar no solo el entendimiento conceptual, sino también la conexión coherente entre contenidos. Además, un 23.5 % reconoció el fortalecimiento de la disciplina, aspecto fundamental para mantener un ambiente de respeto y responsabilidad dentro del aula. Sin embargo, solo el 17.6 % de los estudiantes destacó la participación activa, lo cual invita a reflexionar sobre estrategias que puedan dinamizar aún más la interacción, como el trabajo colaborativo, la gamificación o las discusiones guiadas.
Esta situación, aunque positiva, también recuerda que el aprendizaje significativo no es solo entender, sino participar, dudar, crear. Precisamente, como indican Herrera Arroliga y Herrera Castrillo (2023), el auténtico avance educativo sucede cuando la enseñanza se convierte en una experiencia significativa y compartida en lugar de solo transmitir conocimientos.
Prueba de hipótesis
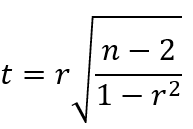
Para determinar la existencia de una relación lineal entre las expectativas estudiantiles y la efectividad percibida de la Guía de Aprendizaje, se procedió realizar una prueba de hipótesis basada en el coeficiente de correlación de Pearson. Esta prueba permite analizar el grado de asociación entre dos variables cuantitativas, brindando evidencia estadística para validar o rechazar la hipótesis planteada.
En este caso, se consideraron las valoraciones emitidas por 17 estudiantes, clasificadas en función de sus expectativas iniciales respecto al proceso de enseñanza-aprendizaje y su percepción posterior sobre la efectividad de la guía implementada. Ambas variables fueron medidas con base en escalas ordinales y tratadas como intervalares para el cálculo del coeficiente.
A partir de los datos obtenidos, se planteó la siguiente hipótesis nula (H₀): ρ = 0, es decir, no existe correlación lineal entre las variables en estudio. La hipótesis de investigación (H₁) establece que ρ ≠ 0, lo cual implica la existencia de una correlación lineal significativa [las hipótesis se plantearon al final de la introducción de este escrito].
El análisis fue complementado mediante el cálculo del estadístico de prueba t de Student, con base en la fórmula correspondiente para contrastar el valor observado del coeficiente r frente a su valor esperado bajo la hipótesis nula. Para ello, se estableció un margen de error del 3 % y un nivel de significancia de α = 0.003, con 16 grados de libertad (gl = n – 2).
A continuación, se presentan la tabla de datos, el valor del coeficiente obtenido, la fórmula aplicada y los resultados correspondientes.
Tabla 3. Variables de correlación
| Excelente | Muy bueno | Bueno | Regular | Total | |
|---|---|---|---|---|---|
| Expectativas | 9 | 5 | 2 | 1 | 17 |
| Efectividad | 11 | 3 | 1 | 1 | 16 |
| Total | 20 | 8 | 3 | 2 | 33 |
Nota. En las expectativas contestaron los 17 estudiantes que formaron parte de la muestra; sin embargo, al realizar la valoración de efectividad, solo 16 proporcionaron respuesta válida. Esta diferencia fue considerada en el análisis estadístico, ajustando el tamaño muestral correspondiente para asegurar la validez de los resultados obtenidos.
Figura 2. Gráfico de dispersión

La Figura 2 presenta un gráfico de dispersión comparativo entre las valoraciones otorgadas por los estudiantes a las categorías de Expectativas y Efectividad. A simple vista, se evidencia una tendencia decreciente en ambas variables conforme se avanza hacia valoraciones más bajas (de “Excelente” a “Regular”), lo cual resulta coherente con la estructura ordinal del instrumento aplicado.
Lo interesante del gráfico es que, si bien ambas curvas siguen trayectorias similares, la línea correspondiente a Efectividad muestra un ligero descenso más pronunciado en la categoría “Muy bueno” y un menor número de respuestas en “Bueno” y “Regular” en comparación con Expectativas. Esto sugiere que, aunque los estudiantes tenían altas expectativas sobre el componente educativo evaluado, la percepción de su efectividad, si bien sigue siendo positiva, fue ligeramente más crítica o exigente.
Además, es notorio que las puntuaciones más altas se concentran en los niveles superiores de la escala, lo que podría interpretarse como un reconocimiento generalizado al esfuerzo docente y a la calidad del recurso aplicado. Sin embargo, la diferencia puntual entre ambas variables resalta la necesidad de seguir fortaleciendo la implementación práctica para que las altas expectativas se traduzcan, de forma consistente, en percepciones igual de sólidas respecto a la efectividad.
r= 0.95456558
H0:ρ=0 (no existe correlación lineal)
H1:ρ≠0 (existe correlación lineal)
(2)
(3)
Tabla 4. Valor crítico
| Tamaño de la muestra | n | 18 | |
| Grados de libertad | gl(n-2) | 16 | |
| Margen de error | α | 0.003 | 3% |
| Ocurrencia positiva | p | 0.5 | |
| Ocurrencia negativa | q(1-0.5) | 0.5 | |
| Valor crítico | t(α/2,n-2) | -3.16525394 |
t>valor crítico ∴ se rechaza la H0
Se debe rechazar la hipótesis nula, debido a que existe evidencia estadística suficiente para concluir que el coeficiente de correlación de diferencia de 0. A través del software Excel se ha estudiado la correlación entre las expectativas de los estudiantes de IV año de Física-Matemática y la efectividad de la Guía de Aprendizaje para la enseñanza de la Relatividad de la Simultaneidad utilizando el coeficiente de correlación de Pearson. Se eligieron estas variables, teniendo en cuenta que si los estudiantes tienen una actitud positiva hacia el aprendizaje de la Física están más dispuestos a comprender el contenido. Asimismo, que si se comprueba la efectividad del instrumento se puede afirmar que se logró una comprensión por parte del estudiantado.
El coeficiente de Pearson este dato indica que es positiva y fuerte entre ambas variables. Además, se obtuvo que el estadístico de prueba es , simboliza que es significativo y que es poco probable que haya ocurrido al azar, mientras que el valor crítico es de , permitiendo rechazar la hipótesis nula, ya que . En conclusión, hay evidencia estadística suficiente para afirmar que existe una correlación significativa. Al aplicar la Guía de Aprendizaje sobre Relatividad de la Simultaneidad mejora la comprensión en los estudiantes de IV año de Física-Matemática.
A través de los resultados se puede afirmar que la Guía de Aprendizaje diseñada no solo responde a la necesidad de mejorar la comprensión de la Relatividad de la Simultaneidad, sino que también permite motivar a los estudiantes, facilitando la participación activa en un proceso formativo más significativo y contextualizado.
Además, los datos cuantitativos y cualitativos indicaron que el enfoque basado en competencias, cuando se aplica en un entorno educativo con recursos bien organizados, puede generar cambios significativos en el aprendizaje. Las evaluaciones de las entrevistas mostraron una opinión favorable sobre la propuesta, destacando su claridad, utilidad y su alineación con la educación vocacional. El análisis no solo respalda la propuesta educativa, sino que también muestra sus respuestas y áreas de mejora. Se han realizado investigaciones previas en contextos parecidos, y la incorporación de Guías de aprendizaje para el estudio, que combina conceptos teóricos fundamentales con métodos activos, es una manera efectiva de mejorar la enseñanza de temas complejos en la educación superior.
La validación de la Guía de Aprendizaje sobre la Relatividad de la Simultaneidad no solo cumplió con el objetivo planteado, sino que dejó ver algo aún más valioso: que es posible transformar una temática considerada abstracta y muy desafiante, tanto para maestros como por estudiantes en una experiencia de aprendizaje con sentido y compresible. Lo que antes parecía inaccesible para muchos estudiantes, ahora tomó forma como una secuencia didáctica que los acompañó les hizo pensar y sobre todo les permitió comprender.
Desde el análisis cuantitativo, la evidencia fue contundente. El uso del coeficiente de correlación de Pearson permitió rechazar la hipótesis nula, confirmando que las altas expectativas que los estudiantes tenían al inicio no fueron en vano: encontraron en la guía un recurso efectivo que realmente les ayudó a aprender. Además, los indicadores de comprensión e integración superaron el 29 %, lo que refleja avances concretos en el proceso formativo. Eso sí, la participación activa fue la más baja, y este dato no se pasa por alto. Es un recordatorio de que aún hay camino por recorrer, sobre todo en cuanto a crear espacios más colaborativos y participativos en el aula.
En el plano cualitativo, las voces de los docentes fueron claras y alentadoras. Apreciaron la estructura metodológica de la guía, su claridad, su pertinencia, y cómo logró conectar la teoría con la práctica sin perder profundidad. La BOA sobre la cual se construyó la propuesta, fue clave para establecer una armonía entre reflexión crítica, desarrollo de competencias y aplicación del conocimiento a nivel universitario.
Este estudio, también tuvo sus límites, como que la muestra fue pequeña y el trabajo se centró en un único grupo académico (IV año Física-Matemática). Esto impide generalizar los hallazgos de forma categórica, aunque deja una base sólida para futuras investigaciones que quieran replicar o adaptar la experiencia. También se registró una respuesta no válida en la variable de efectividad, lo cual redujo levemente el tamaño de muestra considerado en el análisis estadístico.
Para concluir, se sugiere fortalecer las oportunidades de interacción entre pares, incorporar estrategias como el aprendizaje basado en problemas, laboratorios virtuales y físicos o incluso utilizar la gamificación, y llevar esta experiencia a otros temas de la Física Moderna e incluso la Mecánica Cuántica. Porque cuando se unen la coherencia pedagógica, la innovación metodológica y un profundo respeto por el proceso educativo, entonces ocurre algo poderoso: aprender relatividad deja de ser una carga y se convierte en un descubrimiento emocionante.
Aburto Jarquín, P. (2020). La BOA, instrumento para facilitar el desarrollo de competencias. UNAN-Managua, Managua. Managua, Nicaragua: UNAN-Managua. https://www.unan.edu.ni/wp-content/uploads/Las-BOA-Pedro-final-190520_compressed.pdf
Blanco Vásquez, C. (2022). Historia del tiempo: Del ingeniero y físico, autor de Historia del Cálculo. España: Guadalmazán. https://antroposmoderno.com/word/Stephen_Hawking_Historia_del_Tiempo.pdf
Bustamente Correa, L., Aristizabal Rendón, D., & Palacios Ríos, J. E. (2019). Enseñanza del concepto de simultaneidad de eventos en la teoria de la relatividad especial: una tentativa para la formación de sujetos políticos. [Tesis de grado]. Universidad de Antioquia, Medellín, colombia. https://bibliotecadigital.udea.edu.co/handle/10495/16153
Cuevas de la Garza, J. F., & De Ibarrola Nicolín, M. (2015). Aprender en la simultaneidad: la perspectiva de los estudiantes que trabajan sobre los saberes y competencias que construyen. Revista mexicana de investigación educativa, 20(67), 1157-1186. https://www.scielo.org.mx/scielo.php?script=sci_arttext&pid=SI405-66662015000400007
Cuevas, G. (2017). Relatividad General - Una explicación. Temas Nicaragüenses, 1(113), 144-163. https://www.bio-nica.info/Biblioteca/RTN/rtn113.pdf#page=145
Dávila Matute, F. d., Suárez Soza, M. M., Triminio Zavala, C. M., & Herrera Castrillo, C. J. (2023). Elementos de una Base Orientadora de la Acción. http://dx.doi.org/10.13140/RG.2.2.29859.05927
García Acosta, J. G., & García González, M. (2022). La evaluación por competencias en el proceso de formación. Revista Cubana de Educación Superior, 41(2), 1-19. http://scielo.sld.cu/scielo.php?script=sci_arttext&pid=S0257-43142022000200022
García Hernández, I., & de la Cruz Blanco, G. d. (2014). Las guías didácticas: recursos necesarios para el aprendizaje autónomo. EDUMECENTRO, 6(3), 162-175. http://scielo.sld.cu/scielo.php?pid=s2077-28742014000300012&script=sci_arttext&tlng=en
Gonzalez Lizarazo, M. D., Solís, E., & Martinez, C. A. (2023). Investigación didáctica sobre el espacio en física y conceptos relacionados con él: una revisión de antecedentes. Investigación en la Escuela, 1(106), 146-158. https://doi.org/10.12795/IE.2023.i106.12
Hernández , C., & Carpio, N. (2019). Introducción a los tipos de muestreo. ALERTA, 2(1), 76-79. https://doi.org/10.5377/alerta.v2i1.7535
Herrera Arróliga, J. E., & Herrera Castrillo, C. J. (2023). Bases Orientadoras de la Acción para el desarrollo de temas de física en un enfoque por competencias. Revista Científica Estelí, 12(46), 84-107. https://doi.org/10.5377/farem.v12i46.16477
Herrera, C. J. (2024). La educación superior gratuita en Nicaragua: logros del gobierno sandinista en 17 años. Revista Soberanía, 2(7), 38-47. https://www.unan.edu.ni/wp-content/uploads/CSMEB-RS-NO-7.pdf#page=38
Herrera-Castrillo, C. J. (2024). Desarrollo de competencias a través de prototipos y simuladores en un entorno interdisciplinario de física-matemática. Revista Oratores, 1(20), 78–102. https://doi.org/10.37594/oratores.n20.1243
Herrera-Castrillo, C. J. (2024). Eficacia del sistema computacional CoCoA para la organización del pensamiento oral y escrito. Revista Científica Estelí, 13(2), 72-92. https://doi.org/10.5377/esteli.v13i2.19809
Herrera-Castrillo, C. J. (2024). Práctica pedagógica en mecánica relativista: enfoques, estrategias y su impacto educativo. Wani, 40(80), 4-22. https://doi.org/10.5377/wani.v40i80.17642
Manterola, C., Hernández-Leal, M. J., Otzen, T., Espinosa, M. E., & Grande, L. (2023). Estudios de Corte Transversal. Un Diseño de Investigación a Considerar en Ciencias Morfológicas. International Journal of Morphology, 41(1), 146-155. http://dx.doi.org/10.4067/S0717-95022023000100146
Mar-Cornelio, O., & Bron-Fonseca, B. (2017). Base orientadoras de la acción para el desarrollo de prácticas en un sistema de laboratorios a distancia. Revista Científica, 29(2), 140-148. https://doi.org/10.14483/udistrital.jour.RC.2017.29.a3
Otero, M. R., Arlego, M., & A. Muz Guzmán, E. (2019). ¿Cómo y por qué estudiar la relatividad de la simultaneidad en la escuela secundaria? Góndola, Enseñanza y aprendizaje de las Ciencias, 14(2), 303-321. https://doi.org/10.14483/23464712.13929
Padilla-Avalos, C.-A., & Marroquín-Soto, C. (2021). Enfoques de Investigación en odontología: Cuantitativa, Cualitativa y Mixta. Revista Estomatológica Herediana, 31(4), 338-340. https://doi.org/10.20453/reh.v31i4.4.4104
Ponce Rivera, O., Pagán-Maldonado, N., & Gómez Galán, J. (2018). Investigación no experimental y generalización: Bases epistemológicas de las corrientes actuales. In Experiencias pedagógicas e innovación educativa. Aportaciones desde la praxis docente e investigadora (pp. 253-256). AFOE. Asociación para la Formación, el Ocio y el Empleo. https://dialnet.unirioja.es/servlet/articulo?codigo=7309529
Prado Orban, X., Domínguez-Castiñeiras, J. M., Area, I., Paredes, A., & Mira, J. (2020). Aprendizaje de la Teoría de la Relatividad Restringida de Eintein. Estado de la Cuestión. Eureka sobre la Enseñanza y Divulgación de las Ciencias, 17(1), 1-16. https://doi.org/10.25267/Rev_Eureka_ensen_divulg_cienc.v17.il.1103
Quincho Apumayta, R., Cárdenas Valverde, J. C., Quispe Ayala, C., Flores Poma, I. G., & Inga Choque, V. (2022). Formularios de Google y elaboración de instrumentos de evaluación por competencias. Revista Conrado, 18(85), 424-428. http://scielo.sld.cu/pdf/rc/v18n85/1990-8644-rc-18-85-424.pdf
Ramos Galarza, C. (2020). Los alcances de una investigación. CienciAmérica: Revista de divulgación científica de la Universidad Tecnológica Indoamérica, 9(3), 1-5. https://doi.org/10.33210/ca.v9i3.336
Triminio-Zavala, C. M., Herrera-Castrillo, C. J., & Medina-Martínez, W. I. (2023). Formación investigativa del estudiante universitario en el Modelo por competencia de UNAN-Managua. Revista Científica Estelí, 12(48), 108–128. https://doi.org/10.5377/farem.v12i48.17529
Guía de Aprendizaje para la enseñanza de la Cinemática Relativista
Objetivos de la propuesta

Tareas o actividades de aprendizaje
INICIALES |
|
| DESARROLLO | Primer momento:
|
| SÍNTESIS | Se evaluará la clase desarrollada, a través del cuestionario en línea. Actividad en casa Resolver dos problemas cuantitativos y enviarlos al correo proporcionado |
Evaluación de los aprendizajes
|
Formativa |
|
Observación en el aula |
|
Rúbrica de evaluación |
|
Evidencia del hacer |
Rúbrica de Evaluación
| Rúbrica de evaluación | |||||
|---|---|---|---|---|---|
|
|
||||
|
|
||||
|
|
||||
| Criterios de evaluación | Niveles de desempeño | ||||
| Excelente 5 |
Bueno 4 |
Regular 2-3 |
Aspectos que mejorar 1 |
Valoración final | |
| Participación | Participan de manera activa en todas las actividades durante la clase y contribuyen con ideas relevantes. | Participan bastante en las actividades durante la clase y contribuyen con ideas relevantes. | Apenas se evidencia la participación en las actividades durante la clase y contribuyen con ideas. | No participan en las actividades durante la clase, no aportan ideas relevantes | |
| Comprensión del tema | De manera precisa y concisa responden todas las preguntas planteadas sobre el tema durante la clase. | De manera precisa y concisa responden la mayoría de las preguntas planteadas sobre el tema durante la clase. | De manera precisa y concisa responden la mitad de las preguntas planteadas sobre el tema durante la clase. | No responden las preguntas planteadas durante la clase. | |
| Integración | Demuestran una excelente integración en las actividades propuestas y contribuyen con la efectividad del aprendizaje. | Muestran una buena integración en las actividades propuestas y contribuyen con la efectividad del aprendizaje. | Presentan dificultades para integrarse en las actividades propuestas y casi no contribuyen con la efectividad del aprendizaje. | No se integran en las actividades propuestas y no contribuyen con la efectividad del aprendizaje significativo. | |
| Disciplina | Muestran un comportamiento disciplinado y responsable en todo momento. | Generalmente mantienen un comportamiento disciplinado y responsable. | Frecuentemente tienen dificultades para mantener la disciplina y responsabilidad. | Muestra comportamiento indisciplinado y poco responsable | |
| Total | |||||
| Observaciones: | |||||
Propuesta completa

Enlace: https://n9.cl/7vr1m5
© 2025 Revista Científica Estelí.
Este trabajo está licenciado bajo una Licencia Internacional Creative Commons 4.0 Atribución-NoComercial-CompartirIgual.